生物化学与分子生物学/核苷酸的分解代谢

来自医学百科

食物中的核酸多与蛋白质结合为核蛋白,在胃中受胃酸的作用,或在小肠中受蛋白酶作用,分解为核酸和蛋白质。核酸主要在十二指肠由胰核酸酶(pancreatic nucleases)和小肠磷酸二酯酶(phosphodiesterases)降解为单核苷酸核苷酸由不同的碱基特异性核苷酸酶(nucleotidases)和非特异性磷酸酶(phosphatases)催化,水解为核苷磷酸。核苷可直接被小肠粘膜吸收,或在核苷酶(nucleosidases)和核苷磷酸化酶(nucleoside phosphorylases)作用下,水解为碱基,戊糖或1-磷酸戊糖:

Gra7dkf2.jpg


体内核苷酸的分解代谢与食物中核苷酸的消化过程类似,可降解生成相应的碱基,戊糖或1-磷酸核糖。1-磷酸核糖在磷酸核糖变位酶催化下转变为5-磷酸核糖,成为合成PRPP的原料。碱基可参加补救合成途径,亦可进一步分解。

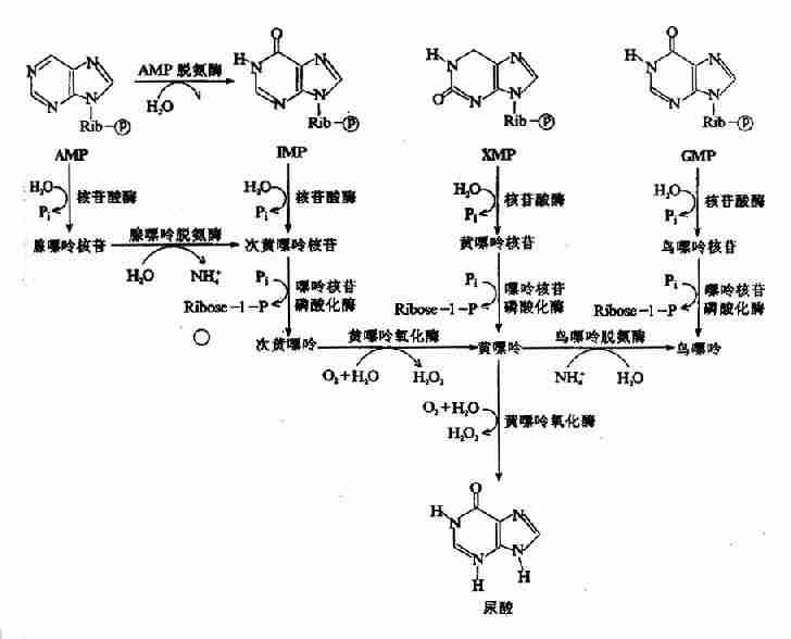
一、嘌呤的分解代谢[编辑 | 编辑源代码]

嘌呤核苷酸可以在核苷酸酶的催化下,脱去磷酸成为嘌呤核苷,嘌呤核苷在嘌呤核苷磷酸化酶(purine nucleoside phosphorylase,PNP)的催化下转变为嘌呤。嘌呤核苷及嘌呤又可经水解,脱氨氧化作用生成尿酸(图8-15)

嘌呤核苷酸的分解代谢


图8-15 嘌呤核苷酸的分解代谢

哺乳动物中,腺苷脱氧腺苷不能由PNP分解,而是在核苷和核苷酸水平上分别由腺苷脱氨酶(adenosine deaminase,ADA)和腺苷酸脱氨酸(AMPdeaminase)催化脱氨生成次黄嘌呤核苷或次黄嘌呤核苷酸。它们再水解成次黄嘌呤,并在黄嘌呤氧化酶(xanthineoxidase)的催化下逐步氧化为黄嘌呤和尿酸(uric acid)。ADA的遗传性缺乏,可选择性清除淋巴细胞,导致严重联合免疫缺陷病(Severecombined immunodeficiency olisease,SCID)。

体内嘌呤核苷酸的分解代谢主要在肝脏、小肠及肾脏中进行。正常生理情况下,嘌呤合成与分解处于相对平衡状态,所以尿酸的生成与排泄也较恒定。正常人血浆中尿酸含量约0.12~0.36mmol/L(2~6mg/dl)。男性平均为0.27mmol/L(4.5mg/dl),女性平均为0.21mmol/L(3.5mg/dl)左右。当体内核酸大量分解(白血病恶性肿瘤等)或食入高嘌呤食物时,血中尿酸水平升高,当超过0.48mmol/L(8mg/dl)时,尿酸盐将过饱合而形成结晶,沉积于关节、软组织、软骨及肾等处,而导致关节炎、尿路结石及肾疾患,称为痛风症。痛风症多见于成年男性,其发病机理尚未阐明。临床上常用别嘌呤醇(allopurinol)治疗痛风症。别嘌呤醇与次黄嘌呤结构类似,只是分子中N8,与C2互换了位置,故可抑制黄嘌呤氧化酶,从而抑制尿酸的生成。同时,别嘌呤在体内经代谢转变,与PRPP生成别嘌呤核苷酸,不仅消耗了PRPP,使其含量下降,而且还能反馈抑制PRPP酰胺转移酶,阻断嘌呤核苷酸的从头合成

二、嘧啶核苷酸的分解代谢[编辑 | 编辑源代码]

Gra7dhjt.jpg


嘧啶核苷酸的分解代谢途径与嘌呤核苷酸相似。首先通过核苷酸酶及核苷磷酸化酶的作用,分别除去磷酸和核糖,产生的嘧啶碱再进一步分解。嘧啶的分解代谢主要在肝脏中进行。分解代谢过程中有脱氨基、氧化、还原及脱羧基等反应。胞嘧啶脱氨基转变为尿嘧啶。尿嘧啶和胸腺嘧啶先在二氢嘧啶脱氢酶的催化下,由NADPH+H+供氢,分别还原为二氢尿嘧啶和二氢胸腺嘧啶。二氢嘧啶酶催化嘧啶环水解,分别生成β-丙氨酸(β-alanine)和β-氨基异丁酸(β-aminosiobutyrate)。β-丙氨酸和β氨基异丁酸可继续分解代谢。β-氨基异丁酸亦可随尿排出体外。食入含DNA丰富的食物、经放射线治疗或化学治疗的患者,以及白血病患者,尿中β-氨基异丁酸排出量增多。嘧啶核苷酸分解代谢见图8-16。

嘧啶核苷酸的分解代谢


图8-16 嘧啶核苷酸的分解代谢