磷酸酶

来自医学百科
Bkkwn.jpg

  

品种简介[编辑 | 编辑源代码]

磷酸酶(phosphatase)是一种能够将对应底物磷酸化的酶,即通过水解磷酸单酯将底物分子上的磷酸基团除去,并生成磷酸根离子和自由的羟基。磷酸酶的作用与激酶的作用正相反,激酶是磷酸化酶,可以利用能量分子,如ATP,将磷酸基团加到对应底物分子上。在许多生物体中都普遍存在的一种磷酸酶是碱性磷酸酶。  

品种分类[编辑 | 编辑源代码]

磷酸酶可以被分为两类:半胱氨酸依赖的磷酸酶和金属磷酸酶(其活性依赖位于活性位点上的金属离子)。  

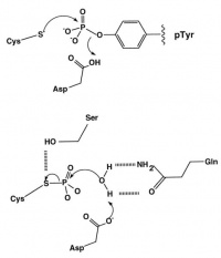
催化机制[编辑 | 编辑源代码]

半胱氨酸依赖的磷酸酶通过形成磷酸-半胱氨酸中间体来催化磷酸酯键的断裂,具体过程如下(以磷酸化的酪氨酸去磷酸化过程为例,参见右图):[1]

首先,酶活性位点上的自由的半胱氨酸亲核基团进攻磷酸基团中的磷原子并成键;然后,连接磷酸基团与酪氨酸的P-O键接受位置合适的酸性氨基酸(如天冬氨酸)或水分子所提供的质子,发生质子化,从而形成磷酸-半胱氨酸中间体;这一中间体被另一个水分子所水解,酶的活性位点被释放,可以继续下一个去磷酸化反应。

金属磷酸酶的活性位点上结合了两个催化所必需的金属离子。而对于这两个金属离子的性质的研究结果并不一致,因此到目前为止还没有定论。现有的证据只能够表明,这两种金属可以是镁、锰、铁、锌的任意组合,并且两个金属离子之间通过一个氢氧根离子相连。目前认为这一氢氧根离子参与了对磷的亲核攻击。

根据所催化的底物特异性,磷酸酶可以被细分为如下五种。

类别 例子 底物

酪氨酸特异性磷酸酶 PTP1B 磷酸化酪氨酸

丝氨酸/苏氨酸特异性磷酸酶 PP2C 磷酸化丝氨酸/苏氨酸

双特异性磷酸酶 VHR 磷酸化酪氨酸/丝氨酸/苏氨酸

组氨酸磷酸酶 PHP 磷酸化组氨酸

脂类磷酸酶 PTEN 磷脂酰肌醇3,4,5-三磷酸(Phosphatidyl-Inositol-3,4,5-Triphosphate)  

生物学功能[编辑 | 编辑源代码]

磷酸酶与激酶或磷酸化酶的磷酸化作用正相反。磷酸化可以使一个酶被激活或失活(如,激酶信号通路[7] ),也可以使一个蛋白-蛋白间相互作用发生(如SH3结构域);因此,磷酸酶是许多信号转导通路控制磷酸化所必需的。值得一提的是,磷酸化或去磷酸化并不一定对应着酶的激活或抑制,而且一些酶有多个磷酸化位点参与激活或抑制的调控。例如,周期素依赖性激酶(CDK)有多个能够被磷酸化的特定氨基酸残基,而激活或抑制对应不同残基的磷酸化。磷酸之所以对于信号传导很重要,其原因在于它能够对其所结合的蛋白的行动进行调控;而除去磷酸,则是一种反向作用(如果磷酸化是激活作用,则去磷酸化就是抑制作用),磷酸酶就在这里扮演了重要的角色。  

蛋白磷酸酶[编辑 | 编辑源代码]

品种特性[编辑 | 编辑源代码]

丝氨酸/苏氨酸特异性蛋白磷酸酶

磷酸化的丝氨酸和苏氨酸在生理条件下十分稳定,因此可以需要用磷酸酶来除去磷酸,以进行调控。已知的四种丝氨酸/苏氨酸特异性蛋白磷酸酶如下:

1. PP1 (α, β, γ1, γ2)

2. PP2A

3. PP2B (AKA,钙调节神经磷酸酶)

4. PP2C

5. PP4

6. PP5

前三种酶的催化结构域具有序列同源性,但底物特异性不同。

通过细胞内定位和特定的抑制蛋白,可以对丝氨酸/苏氨酸特异性蛋白磷酸酶进行调控。  

品种区别[编辑 | 编辑源代码]

注意磷酸酶(phosphatase)和磷酸化酶(phosphorylase)的区别,磷酸化酶作用机理类似水解酶,将A-B分解为AOH和B-phosphate。