核糖

来自医学百科

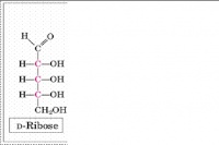
核糖是一种单糖,分子式C4H9O4CHO,英文名称:ribose

D-核糖和D-2-脱氧核糖是核酸中的碳水化合物组分,以呋喃糖型广泛存在于植物和动物细胞中。D-核糖也是多种维生素、辅酶以及某些抗生素,如新霉素A、B和巴龙霉素的成分。

D-核糖为片状结晶;熔点87℃;在水溶液中它是呋喃糖和直链糖的平衡混合物。核糖是核糖核酸分子的一个组成部分,是生命现象中非常重要的一种糖。

它是一种戊醛糖,分子式C5H10O5,是在细胞中发现的,是细胞核的重要组成部分,是人类生命活动中不可缺少的物质。它具有醛糖的通性(参看葡萄糖的性质)、它是核糖核酸(RNA)的重要组成部分。

另一种重要的核糖是脱氧核糖,分子式C5H10O4,是分子中氢原子数和氧原子数不符合2∶1的一种戊醛糖,它是脱氧核糖核酸(DNA)的重要组成部分。

核糖 ribose