营养学/嘌呤核苷酸的代谢

来自医学百科

核酸的基本结构单位是核苷酸,核苷酸可分解为核苷磷酸。核苷进一步分解为碱基(嘌呤碱和嘧啶碱)与戊糖

25.1.1 嘌呤核苷酸的结构

(1)碱基-嘌呤碱核酸中常见的嘌呤碱有腺嘌呤鸟嘌呤,它们由母体化合物嘌呤衍生而来。天然存在的重要嘌呤碱还有次黄嘌呤黄嘌呤尿酸等,次黄嘌呤与黄嘌呤是分解代谢的中间产物,尿酸是人、猿和鸟类分解代谢的最终产物。

嘌呤碱的化学结构


图25-1 嘌呤碱的化学结构

(2)核苷核苷由核糖和碱基缩合而成。核糖的C1与嘌呤碱的N9相连接。其结构如下:

核糖(左)与核苷(右,腺苷)的化学结构


图25-2 核糖(左)与核苷(右,腺苷)的化学结构

(3)核苷酸核苷中的核糖羟基磷酸酯化生成核苷酸。常见的核苷酸有腺嘌呤核苷酸(AMP)、鸟嘌呤核苷酸(GMP)等,其结构举例如下:

核苷酸(5′-腺苷酸)的化学结构


图25-3 核苷酸(5′-腺苷酸)的化学结构

25.1.2 嘌呤核苷酸的合成

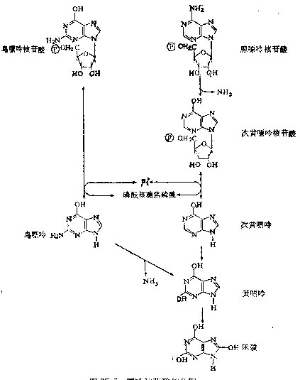
嘌呤的内源性合成主要在肝内进行,先由5′-磷酸核糖ATP磷酸核糖焦磷酸合成酶催化下合成5′-磷酸核糖焦磷酸,然后在谷氨酰胺磷酸核糖焦磷酸胺转移酶(Glutamine-5-phospho-ribosylpyrophosphateamido-transferase,GRPPAT)作用下与谷氨酰胺形成1-氨基-5′-磷酸核糖,这是最关键的一步。这一步可受核苷酸(腺苷酸,鸟苷酸和次黄嘌呤核苷酸)的抑制。然后又在甘氨酸、甲酸等作用下转变成次黄嘌呤核苷酸。谷氨酸的同类物重氮丝氨酸对此有抑制作用。次黄嘌呤核苷酸是最重要的核苷酸,并由此转变成其他嘌呤核苷酸;也可由此分解代谢产生次黄嘌呤、黄嘌呤及尿酸。另一重要步骤是依靠次黄嘌呤-鸟嘌噙磷酸核糖转移酶(HGPRT)将次黄嘌呤及鸟嘌呤转变成这二种嘌噙的核苷酸,借此控制尿酸的产量。当这种酶缺乏时,便失去控制,尿酸大量产生。同样,当合成嘌呤的底物增多,如5′-磷酸核糖焦磷酸增加及/或谷氨酰胺增多,或鸟嘌呤核苷酸,腺嘌呤核苷酸,次黄嘌呤核酸不足,则对合成1-氨基-5′-磷酸核糖的反馈减弱,嘌呤合成增多。前者见于PRPP合成酶活性增高,后者见于HGPRT缺乏。

通过同位素稀释法测定,发现参予代谢的尿酸库男性为1200mg(800~1600mg),女性为600mg。1/5在血浆,4/5在血管外体液中。特发性高尿酸血症者尿酸库增至1600~4000mg。有痛风者则尿酸库可增至2~7.5倍。尿酸库的尿酸65%即7000mg在不断更新,痛风患者的更新可达5~10g。

口服同位素发现N15甘氨酸后,发现约1/3痛风病人尿排泄的尿酸N15比正常人多,在第3~4天达高峰。如把数日小便加起来。则所排泄的同位素总量较正常人大3倍。HGPRT缺乏者在上述试验中,尿同位素排量可较正常人增加15~20倍。上述结果表明这类病人体内嘌呤合成代谢增多,当然还有一部位病人尿同位素增加不显著,可能与肾脏排泄尿酸过少有关。

25.1.3 嘌呤核苷酸的分解

(1)腺嘌呤核苷酸→次黄嘌呤核苷酸 通过AMP氨基水解酶的作用,经脱氨基反应,腺嘌呤核苷酸转化成为次黄嘌呤核苷酸。

(2)次黄嘌呤核苷酸←→次黄嘌噙通过次黄嘌呤磷酸核糖基转酶使核糖部分被分解出来,因加入无机磷酸而转化成磷酸核糖焦磷酸(PRPP),留下游离的次黄嘌呤。此反应是可逆的。

痛风患者体内可能部分缺乏这种酶,患遗传性代谢缺陷病者-自毁容貌综合征(Lesch Nyhan二氏综合征)的病人,体内完全缺乏此酶,可出现严重的智力低下与自我残毁等症状,还产生大量尿酸并引起结石

Gpze2ia8.jpg


①谷氨酰胺磷酸核糖焦磷酸转移酶 ②次黄嘌呤-鸟嘌呤磷酸核糖转移酶③磷酸核糖焦磷酸合成酶 ④腺嘌呤磷酸核糖转移酶⑤腺苷脱胺酶⑥嘌呤核苷酸化酶⑦5′-核苷酸酶 ⑧黄嘌噙氧化酶。PRPP:磷酸核糖焦磷酸

图25-4 嘌呤核苷酸的合成

(3)次黄嘌呤→黄嘌呤黄嘌呤氧化酶使次黄嘌呤在C-2被氧化而生成黄嘌呤与过氧化氢

黄嘌呤尿症的患者体内严重缺乏或无这种酶,患者的尿酸形成减少,趋向于形成次黄嘌呤或黄嘌呤的结石。

(4)黄嘌呤→尿酸同样在黄嘌呤氧化酶的催化下,使五元环中的C-8被氧化,而形成尿酸,人体嘌呤的分解代谢到此为止,除人、猿以外的其它动物,代谢还可继续进行生成尿囊素尿素或氨。

(5)鸟嘌呤核苷酸←→鸟嘌呤该反应同样受次黄嘌呤磷酸核糖基转称酶的催化,与次黄嘌呤核苷酸→次黄嘌呤的反应相似。

(6)鸟嘌呤→黄嘌呤 鸟嘌呤酶使C-2上的氨基被羟基取代。

各反应步骤如下:

尿酸排泄途径有三:20~25%的尿酸从肠道排泄。肠道细菌有尿酸酶,使尿酸转变成尿囊素,最后分解为二氧化碳和所随粪便一起排出。细胞内分解约2%。其余均由肾脏排泄。肾小球滤过后约为血浆中尿酸的95%。而其中98%被近端小管重吸收。尿酸排泄主要依靠明小管再分泌。分泌部分代表总尿尿酸的80%,分泌部位在近端还是远端肾小管尚未完全清楚。重吸收和分泌可能都在近曲小管。肾小管重吸收研究表明:尿酸清除/肌酐清除=0.1,肌酐清除量远大于尿酸清除;肾小管分泌研究显示尿酸清除/肌酐清除〉1。这一现象可以解释某些药物的副作用,如阿斯匹林保泰松、丙碘舒在小剂量时可减少肾小管的尿酸分泌而减少了尿酸,大剂量时则重吸收减少大于分泌减少,所以增加尿酸的排泄。

在普食情况下,24h尿酸平均为750mg.d-1(或尿酸氮200mg.d-1)。忌嘌呤饮食下为350mg.d-1。尿酸在尿中以尿酸或尿酸盐形式存在,尿越呈碱性,则以尿酸盐的形式存在越多。后者的溶解度较前者大17倍。所以酸性尿易形成肾结石或沉积于肾髓质

嘌呤核苷酸的分解


图25-5 嘌呤核苷酸的分解