三磷酸腺苷

来自医学百科
(重定向自ATP

在生物化学中,三磷酸腺苷(三磷酸腺甙,英文名:Adenosine triphosphate, ATP)是一种核苷酸,作为细胞内能量传递的“分子通货”,储存和传递化学能。ATP在核酸合成中也具有重要作用。

Bkb9e.jpg

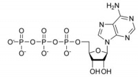
ATP是三磷酸腺苷的英文名称缩写。ATP分子的结构是可以简写成A-P~P~P,其中A代表腺苷,P代表磷酸基团,~代表一种特殊的化学键,叫做高能磷酸键,高能磷酸键断裂时,大量的能量会释放出来。ATP可以水解,这实际上是指ATP分子中高能磷酸键的水解。高能磷酸键水解时释放的能量多达30.54kJ/mol,所以说ATP是细胞内一种高能磷酸化合物。  

化学性质[编辑 | 编辑源代码]

ATP由腺苷和三个磷酸基所组成,分子式C10H16N5O13P3,化学简式C10H8N4O2NH2(OH)2(PO3H)3H,分子量507.184。三个磷酸基团从腺苷开始被编为α、β和γ磷酸基。ATP的化学名称为5'-三磷酸-9-β-D-呋喃核糖腺嘌呤,或者5'-三磷酸-9-β-D-呋喃核糖基-6-氨基嘌呤。  

合成[编辑 | 编辑源代码]

ATP的立体结构ATP可通过多种细胞途径产生,最典型的如在线粒体中通过氧化磷酸化由ATP合成酶合成,或者在植物的叶绿体中通过光合作用合成。ATP合成的主要能源为葡萄糖和脂肪酸。每分子葡萄糖先在胞液中产生2分子丙酮酸同时产生2分子ATP,最终在线粒体中通过三羧酸循环产生最多36分子ATP。  

人体中的ATP[编辑 | 编辑源代码]

人体中ATP的总量只有大约0.1摩尔。人体细胞每天的能量需要水解200-300摩尔的ATP,这意味着每个ATP分子每天要被重复利用2000-3000次。ATP不能被储存,因为ATP的合成后必须在短时间内被消耗.  

其它三磷酸苷[编辑 | 编辑源代码]

活细胞中也有其他的高能三磷酸盐如鸟苷三磷酸。能量可以在这些三磷酸盐和ATP中由磷酸激酶催化反应之类的反应转移:当磷酸键被水解的时候能量就会被释放。这种能量可以被多种酶、肌动蛋白和运输蛋白用于细胞的活动。水解还会生成自由的磷酸盐二磷酸腺苷。二磷酸腺苷又可以被进一步水解为另一个磷酸离子和一磷酸腺苷。ATP也可以被直接水解为一磷酸腺苷和焦磷酸盐,这个反应在水溶液中是高效的不可逆反应。  

ADP与GTP的反应[编辑 | 编辑源代码]

ADP + GTP→ATP + GDP

二磷酸腺苷 + 三磷酸鸟苷→三磷酸腺苷 + 二磷酸鸟苷

C10H15N5O10P2+C10H16N5O14P3→C10H16N5O13P3+C10H15N5O11P2

ATP可能会被作为纳米技术和灌溉的能源。人工心脏起搏器可能收益于这种技术而不再需要电池提供动力。

三磷酸腺苷是体内广泛存在的辅酶,是体内组织细胞所需能量的主要来源,蛋白质、脂肪、糖和核苷酸的合成都需ATP参与。ATP经腺苷酸环化酶催化形成环磷酸腺苷(cAMP),是细胞内的生物活性物质,对细胞许多代谢过程有重要的调节作用。

ATP为蛋白质、糖原卵磷脂尿素等的合成提供能量,促使肝细胞修复和再生,增强肝细胞代谢活性,对治疗肝病有较大针对性。但外源性ATP不易进入细胞,且与体内需要的量比较,可能提供的量微不足道。  

基本信息[编辑 | 编辑源代码]

三磷酸腺苷(Adenosine Triphosphate,ATP)

异名腺三磷

【主要成分】三磷酸腺苷。

【药理作用】本品为一种辅酶。有改善肌体代谢的作用,参与体内脂肪、蛋白质、糖、核酸及核苷酸的代谢,同时又是体内能量的主要来源。适用于细胞损伤后细胞酶减退引起的疾病动物试验发现本品对心肌细胞的电生理有明显作用,可抑制慢反应细胞的钙离子内流,阻断和延长房室结折返环路的前向传导,大剂量尚可阻断房室旁路的折返性,具有增强迷走神经的作用,可用室上性心动过速

【适应证】室上性心动过速、心力衰竭心肌炎心肌梗塞脑动脉硬化冠状动脉硬化、急性脊髓灰质炎

不良反应头痛、头昏、出冷汗、胸闷低血压等。偶可见关节酸痛、荨麻疹等。

【禁忌证】对本品过敏、脑出血急性期病窦综合征禁用。

【用法用量】肌注或静注:20mg/次,1~3次/日。

【注意事项】1、静注宜缓慢,以免引起头晕、头胀、胸闷、低血压等。2、治疗快速型室上性心律失常时,首剂常用20mg用葡萄糖液稀释至5ml于20秒内快速静滴,若无效则间隔5分钟,再注入30mg,单剂注入量不超过40mg。由于本品在终止室上性发作过程中,可发生多种心律失常和全身反应,尽管是瞬间反应,不需处理,但仍有一定潜在危险,故使用本药时宜连续心电图监测,密切注意病人的全身反应。3、治疗剂量宜小剂量开始,无效时逐渐加量。4、本品对窦房结有明显抑制,故对病窦综合征、窦房结功能不全、老年人慎用或不用。5、部分疗效不确切,应引起注意切勿滥用。  

ATP对人体供能[编辑 | 编辑源代码]

无氧代谢剧烈运动时,体内处于暂时缺氧状态,

在缺氧状态下体内能源物质的代谢过程,称为无氧代谢。它包括以下两个供能系统。

①非乳酸能(ATP—CP)系统—一般可维持10秒肌肉活动

无氧代谢

②乳酸能系统—一般可维持1~3分的肌肉活动

非乳酸能(ATP—CP)系统和乳酸能系统是从事短时间、

剧烈运动肌肉供能的主要方式。ATP释放能量供肌肉收缩的时间仅为1~3秒,

要靠CP分解提供能量,但肌肉中CP的含量也只能够供ATP合成后

分解的能量维持6~8秒肌肉收缩的时间。因此,

进行10秒以内的快速活动主要靠ATP—CP系统供给肌肉收缩时的能量。

乳酸能系统是持续进行剧烈运动时,肌肉内的肌糖元在缺氧状态下进行酵解,

经过一系列化学反应,最终在体内产生乳酸,同时释放能量供肌肉收缩。

这一代谢过程,可供1~3分左右肌肉收缩的时间。