磷酸可待因

来自医学百科
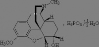
Bk2jj.jpg

       通用名 磷酸可待因

化学名 17-甲基-3-甲氧基-4,5α-环氧-7,8-二去氢吗啡喃-6α-醇磷酸盐倍半水合物

拼音名 LINSUAN KEDAIYIN

英文名 CODEINE PHOSPHATE

CAS No. 41444-62-6

分子式 C18H21NO3.H3PO4.1H20

分子量 424.39

规 格 8.4mg/片  

药物名称[编辑 | 编辑源代码]

磷酸可待因 Codeine Phosphate[基]  

药物别名[编辑 | 编辑源代码]

可待因磷酸甲基吗啡 Methylmorphine Phosphate  

分子式成分[编辑 | 编辑源代码]

化学名称为17-甲基-3-甲氧基-4,5α-环氧-7,8-二去氢吗啡喃-6α-醇磷酸盐倍半水合物。分子式:C18H21NO3.H3PO4.1½H20。分子量:424.39  

制剂规格[编辑 | 编辑源代码]

片剂为白色片或包衣片。∶15mg、30mg;注射液∶1ml:15mg、1ml:30mg。糖浆剂∶0.5%。  

药理毒理[编辑 | 编辑源代码]

本品对延脑咳嗽中枢有直接抑制作用,其镇咳作用强而迅速,类似吗啡,除镇咳作用外,也有镇痛镇静作用。

延髓的咳嗽中枢有选择性地抑制,镇咳作用强而迅速。也有镇痛作用,其镇痛作用约为吗啡的1/12~1/7,但强于一般解热镇痛药。能抑制支气管腺体的分泌,可使痰液粘稠,难以咳出,故不宜用于多痰粘稠的患者。  

药 动 学[编辑 | 编辑源代码]

可待因及其盐类口服后自胃肠道吸收快而完全,其生物利用度为40%~70%,口服后约20min生效,Tmax约1h。在体内经肝脏代谢,主要经尿排出,约有10%的可代因在体内脱甲基而成吗啡,T1/2为3~4h。

片剂:口服后较易被胃肠吸收,主要分布于肺、肝、肾和胰。本品易于透过血脑屏障,又能透过胎盘血浆蛋白结合率一般在25%左右。T1/2约为2.5-4小时。镇痛起效时间为30-45分钟,,在60-120分钟间作用最强。作用持续时间,镇痛为4小时,镇咳为4-6小时。经肾排泄,主要为葡糖醛酸结合物

糖浆剂:口服后较易被胃肠吸收,主要分布于肺、肝、肾和胰。本品易于透过血脑屏障,又能透过胎盘。血浆蛋白结合率一般在25%左右。T1/2约为2.5-4小时。镇痛起效时间为30-45分钟,在60-120分钟间作用最强。作用持续时间,镇痛为4小时,镇咳为4-6小时。经肾排泄,主要为葡糖醛酸结合物。  

适 应 证[编辑 | 编辑源代码]

频繁剧烈干咳,对胸膜炎或大叶性肺炎早期伴有胸痛的干咳者尤适用。兼有镇静、镇咳、止血的疗效。2.  

不良反应[编辑 | 编辑源代码]

偶有恶心呕吐便秘眩晕;亦可使病人烦躁不安。详见下面:

1.较多见的不良反应有:

① 心理变态或幻想;

呼吸微弱、缓慢或不规则;

② 心率或快或慢、异常。

2. 少见的不良反应:①惊厥耳鸣、震颤或不能自控的肌肉运动等;②荨麻疹瘙痒皮疹或脸肿等过敏反应;③精神抑郁和肌肉强直等。

3. 长期应用可引起依赖性。常用量引起依赖性的倾向较其他吗啡类药为弱。典型的症状为:鸡皮疙瘩、食欲减退腹泻牙痛恶心呕吐流涕寒颤打喷嚏、打呵欠、睡眠障碍胃痉挛多汗、衰弱无力、心率增速、情绪激动或原因不明的发热。  

相互作用[编辑 | 编辑源代码]

服用期间饮酒,能严重削弱患者的安全驾驶能力。与解热镇痛药有协同作用。与甲喹酮合用,相互具有协同作用。

1. 本品与抗胆碱药合用时,可加重便秘或尿潴留的不良反应。

2. 与美沙酮或其他吗啡类药合用时,可加重中枢性呼吸抑制作用。

3、与肌肉松弛药合用时,呼吸抑制更为显著。  

用法用量[编辑 | 编辑源代码]

口服或皮下注射∶15mg~30mg/次,2-3次/日。口服极量∶100mg/次。儿童,每次μg/kg,4次/日。

小儿常用量:镇痛,口服一次按体重0.5-1mg/kg,一日3次。镇咳用量为上述的1/2-1/3。新生儿婴儿慎用。  

注意事项[编辑 | 编辑源代码]

妊娠C类。小儿过量可发生惊厥,以纳洛酮对抗。连续应用可成瘾。痰多粘稠的患者慎用。支气管哮喘性咳嗽、换气量差的肺气肿等阻塞性肺部疾病患者禁用。对本品过敏的患者禁用。

下列情况应慎用:

⑴支气管哮喘;

急腹症,在诊断未明确时,可能因掩盖真象造成误诊;

⑶胆结石,可引起胆管痉挛

⑷原因不明的腹泻,可使肠道蠕动减弱、减轻腹泻症状而误诊;

⑸颅脑外伤或颅内病变,本品可引起瞳孔变小,模糊临床体征

前列腺肥大病因本品易引起尿潴留而加重病情。

(7)重复给药可产生耐药性,久用有成瘾性。

[孕妇及哺乳期妇女用药]

⑴本品可透过胎盘,使胎儿成瘾,引起新生儿的戒断症状如过度啼哭、打喷嚏、打呵欠、腹泻、呕吐等。分娩期应用本品可引起新生儿呼吸抑制

⑵可自乳汁排出,哺乳期妇女慎用。