泛醌

来自医学百科
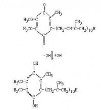
Bkbh1.jpg

泛醌(ubiquinone)

又称辅酶Q(CoQ),为一类脂溶性醌类化合物,带有由不同数目(6~10)异戊二烯单位组成的侧链。其苯醌结构能可逆地加氢还原成对苯二酚化合物。是呼吸链中的氢传递体

泛醌ubiquinoneR.A.Morton从鼠肝脂质中分离出来并取名泛醌(UQ),但后来F.L.Crane等从牛心肌线粒体脂质分离出来命名为辅酶Q(CoQ)。是苯醌的衍生物,侧链异戊二烯单位数目因被提取的生物种类不同而异。大多n=6-10,人、牛是UQ10,鼠是UQ9。异戊二烯多的化合物是黄橙色结晶。氧化型在275纳米处具有特有的吸收带。在动物,它存在于线粒体上,即使在微生物中也通过它的氧化还原反应(E'0=0.10V,pH7.4),由黄素蛋白取得2H,移交给细胞色素,具有电子传递体的机能。泛醌也在动物体内合成,苯醌部分由苯丙氨酸合成,异戊二烯部分由乙酰CoA合成,是具维生素一类作用的物质之一。