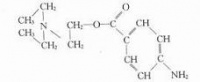
普鲁卡因
来自医学百科
(重定向自奴佛卡因)
【别名】奴佛卡因(Novocaine),Planocaine。
【适应证】临床上常用普鲁卡因行局部浸润麻醉、神经阻滞麻醉。其表面麻醉和硬膜外阻滞效果差,一般不采用。
【不良反应】1.过敏反应。2.毒性反应。一旦血药浓度骤然升高,可引起一系列中枢神经系统和心血管系统的毒性症状,如惊厥和心率减慢及血压下降。
【注意事项】1.用前常规皮试。2.抗胆碱酯酶药能增强本品毒性,忌联合应用。3.本品水解产物二乙氨基乙醇,能增强洋地黄作用,导致毒性反应,慎用。
【制剂】盐酸普鲁卡因注射剂:1%/2ml、1%/10ml、1%/500ml、0.5%/100ml、0.25%/100ml。
【用法用量】1.局部浸润麻醉常用0.25%~1%普鲁卡因。2.神经阻滞麻醉常用1.5%~2%溶液,成人一次最大量为1g。3.脊麻常用3%~5%溶液,常规用量一般不超过150mg。4.全麻辅助:一般用1%溶液静脉滴注。
【药理】
毒性较小,是常用的局麻药之一。本药属短效脂类局麻药,亲脂性低,对黏膜的穿透力弱。一般不用于表面麻醉,常局部注射用于浸润麻醉、传导麻醉、蛛网膜下腔麻醉和硬膜外麻醉。注射给药后1-3min起效,可维持30-45min,加用肾上腺素后维持时间可延长20%。普鲁卡因在血浆中能被酯酶水解,转变为对氨苯甲酸(PABA)和二乙氨基乙醇,前者能对抗磺胺类药物的抗菌作用,故应避免与磺胺类药物同时应用。普鲁卡因也可用于损伤部位的局部封闭。过量应用可引起中枢神经系统和心血管反应。有时可引起过敏反应,故用药前应做皮肤过敏试验,但皮试阴性者仍可发生过敏反应。对本药过敏者可用氯普鲁卡因和利多卡因代替。
| ||||||||||||||
| ||||||||