医院药学/鲎试剂标准

来自医学百科

本品为鲎科动物东方鲎(Tachyplecus tridentatus)的血液变形细胞溶解物无菌冷冻干燥品。

本品含能被微量细菌内毒素激活的凝固酶原(Proclotting enzyme),凝固蛋白原(Coagulagen)其灵敏度以细菌内毒标准品或工作标准品测定,应为标示量的50%-200%。

(一)性状 本品为白色或类白色冻干块或粉末,在水生生理盐水中易溶。

(二)鉴别

1.取本品按装量加水溶解后,加茚三酮试液《中国药典1990年版》(二部附录162页)0.25ml,加热煮沸1-2分钟,显蓝色紫色。

2.取本品按装量加水溶解后,再加水适当稀释,照分光光度法《中国药典1990年版》(二部附录24页)测定,在270±1nm的波长处有单一吸收峰。

3.取本品按装量加入内毒检查用水溶解后,吸取0.1ml加入0.1ml细菌内毒素工作标准品或标准品50EU,混匀后,于37℃水浴中放置1小时,有凝胶形成。

(三)检查 干燥失重:取本品约0.1在g ,在66℃减压干燥至恒得,减失重量不得过5%(中国药典1990年版二部附录55页)。

自身凝集:取本品4支,按装量加入配带的鲎试剂溶剂,溶解后,分别从每支取0.1ml,再分别加入配带的鲎试剂溶剂0.1ml,混匀后,于37±1℃水浴中放置4小时,不得形成凝胶,若有2管以上形成凝胶,判为不合格;若仅有1管形成凝胶,照同样方法,另取8支重复检查,8支均不得形成凝胶。

缓冲能力:任意取5%、10%葡萄糖注射液氯化钠注射液无菌注射用水或注射用水适量,加稀盐酸调节pH使供试品溶液pH值为2.90-3.00,取此溶液适量与等量鲎试剂溶解液混匀,重复测定,pH值应为6.00-8.00。

(四)灵敏度测定 预测:

1.取细菌内毒素工作标准品1支,按说明溶解燕稀稀释成1→8等比系列稀释液。

2.取同一批鲎试剂若干支,分别按标示量加入配带的试剂溶剂制成鲎试剂溶液。取10×75mm试管若干支,分别加入0.1 ml鲎试剂溶液,加入内毒素稀释液0.1 ml ,每一稀释液最少作2管,同时作2管阴性对照。轻轻振动上述试管混匀内容物,封闭管口,置37±1℃水浴中。保温60±2分钟观察结果,确定本批鲎试剂灵敏范围,2管阴性对照不得出现阳性结果。

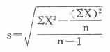
测定:根据预测得到的灵敏范围,将细菌内毒素工作标准品以1→2等比稀释,选择能出现阳性和阴性结果的4个边疆稀释液,每一稀释液作4管,且其最高浓度的4管应均为阳性最低溶液的4管应均为阴性,同上述操作,记录反应结果,计算标准差(s)

Goz9p4xy.jpg

X为4组反应终点的数对值,n为4

当s<0.365时,按下式计算本批鲎试剂灵敏度(λ)

Goz9oxvi.jpg


当s<0.365时测定无效,应检查出现差异原因,并重新测定。

(五)用途 用于细菌内毒素检查。

(六)规格 (1)0.1ml;(2)0.5ml。

(七)贮藏 遮光,在冷处保存。有效期暂定1年。

  • 系指其内毒素含量不超过0.006EU/ml的注射用水。