标准差

来自医学百科

标准差(Standard Deviation) ,也称均方差(mean square error),是各数据偏离平均数的距离的平均数,它是离均差平方和平均后的方根,用σ表示。标准差是方差的算术平方根。标准差能反映一个数据集的离散程度。平均数相同的,标准差未必相同。

简介[编辑 | 编辑源代码]

公式

标准差也被称为标准偏差,或者实验标准差,公式如图。

简单来说,标准差是一组数据平均值分散程度的一种度量。一个较大的标准差,代表大部分数值和其平均值之间差异较大;一个较小的标准差,代表这些数值较接近平均值。

例如,两组数的集合 {0, 5, 9, 14} 和 {5, 6, 8, 9} 其平均值都是 7 ,但第二个集合具有较小的标准差。

标准差可以当作不确定性的一种测量。例如在物理科学中,做重复性测量时,测量数值集合的标准差代表这些测量的精确度。当要决定测量值是否符合预测值,测量值的标准差占有决定性重要角色:如果测量平均值与预测值相差太远(同时与标准差数值做比较),则认为测量值与预测值互相矛盾。这很容易理解,因为如果测量值都落在一定数值范围之外,可以合理推论预测值是否正确。

标准差应用于投资上,可作为量度回报稳定性的指标。标准差数值越大,代表回报远离过去平均数值,回报较不稳定故风险越高。相反,标准差数值越细,代表回报较为稳定,风险亦较小。

例如,A、B两组各有6位学生参加同一次语文测验,A组的分数为95、85、75、65、55、45,B组的分数为73、72、71、69、68、67。这两组的平均数都是70,但A组的标准差为17.07分,B组的标准差为2.37分(此数据时在R统计软件中运行获得),说明A组学生之间的差距要比B组学生之间的差距大得多。

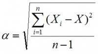
如是总体,标准差公式根号内除以n

如是样本,标准差公式根号内除以(n-1)

因为我们大量接触的是样本,所以普遍使用根号内除以(n-1)

公式意义

所有数减去其平均值的平方和,所得结果除以该组数之个数(或个数减一),再把所得值开根号,所得之数就是这组数据的标准差。  

标准差的意义[编辑 | 编辑源代码]

标准差越高,表示实验数据越离散,也就是说越不精确

反之,标准差越低,代表实验的数据越精确  

离散度[编辑 | 编辑源代码]

标准差是反应一组数据离散程度最常用的一种量化形式,是表示精密确的最要指标。说起标准差首先得搞清楚它出现的目 的。我们使用方法去检测它,但检测方法总是有误差的,所以检测值并不是其真实值。检测值与真实值之间的差距就是评价检测方法最有决定性的指标。但是真实值 是多少,不得而知。因此怎样量化检测方法的准确性就成了难题。这也是临床工作质控的目的:保证每批实验结果的准确可靠。

虽然样本的真实值是不可能知道的,但是每个样本总是会有一个真实值的,不管它究竟是多少。可以想象,一个好的检测方法,基检测值应该很紧密的分散在真实值周围。如何不紧密,那距真实值的就会大,准确性当然也就不好了,不可能想象离散度大的方法,会测出准确的结果。因此,离散度是评价方法的好坏的 最重要也是最基本的指标。

一组数据怎样去评价和量化它的离散度呢?人们使用了很多种方法:  

极差[编辑 | 编辑源代码]

最直接也是最简单的方法,即最大值-最小值(也就是极差)来评价一组数据的离散度。这一方法在日常生活中最为常见,比如比赛中去掉最高最低分就是极差的具体应用。  

离均差的平方和[编辑 | 编辑源代码]

由于误差的不可控性,因此只由两个数据来评判一组数据是不科学的。所以人们在要求更高的领域不使用极差来评判。其实,离散度就是数据偏离平均值的程度。因此将数据与均值之差(我们叫它离均差)加起来就能反映出一个准确的离散程度。和越大离散度也就越大。

但是由于偶然误差是成正态分布的,离均差有正有负,对于大样本离均差的代数和为零的。为了避免正负问题,在数学有上有两种方法:一种是取绝对 值,也就是常说的离均差绝对值之和。而为了避免符号问题,数学上最常用的是另一种方法--平方,这样就都成了非负数。因此,离均差的平方和成了评价离散度 一个指标。  

方差(S2)[编辑 | 编辑源代码]

由于离均差的平方和与样本个数有关,只能反应相同样本的离散度,而实际工作中做比较很难做到相同的样本,因此为了消除样本个数的影响,增加可比性,将标准差求平均值,这就是我们所说的方差成了评价离散度的较好指标。

样本量越大越能反映真实的情况,而算数均值却完全忽略了这个问题,对此统计学上早有考虑,在统计学中样本的均差多是除以自由度(n-1),它是意思是样本能自由选择的程度。当选到只剩一个时,它不可能再有自由了,所以自由度是n-1。  

标准差(SD)[编辑 | 编辑源代码]

由于方差是数据的平方,与检测值本身相差太大,人们难以直观的衡量,所以常用方差开根号换算回来这就是我们要说的标准差。

在统计学中样本的均差多是除以自由度(n-1),它是意思是样本能自由选择的程度。当选到只剩一个时,它不可能再有自由了,所以自由度是n-1。  

变异系数(CV)[编辑 | 编辑源代码]

标准差能很客观准确的反映一组数据的离散程度,但是对于不同的检目,或同一项目不同的样本,标准差就缺乏可比性了,因此对于方法学评价来说又引入了变异系数CV。  

标准差与平均值之间的关系[编辑 | 编辑源代码]

一组数据的平均值及标准差常常同时做为参考的依据。在直觉上,如果数值的中心以平均值来考虑,则标准差为统计分布之一“自然”的测量。

定义公式:

标准差与平均值定义公式

  

标准差公式[编辑 | 编辑源代码]

1、方差s^2=[(x1-x)^2+(x2-x)^2+......(xn-x)^2]/n

2、标准差=方差的算术平方根  

几何学解释[编辑 | 编辑源代码]

从几何学的角度出发,标准差可以理解为一个从 n 维空间的一个点到一条直线的距离的函数。举一个简单的例子,一组数据中有3个值,X1,X2,X3。它们可以在3维空间中确定一个点 P = (X1,X2,X3)。想像一条通过原点的直线 。如果这组数据中的3个值都相等,则点 P 就是直线 L 上的一个点,P 到 L 的距离为0, 所以标准差也为0。若这3个值不都相等,过点 P 作垂线 PR 垂直于 L,PR 交 L 于点 R,则 R 的坐标为这3个值的平均数:

公式

运用一些代数知识,不难发现点 P 与点 R 之间的距离(也就是点 P 到直线 L 的距离)是。在 n 维空间中,这个规律同样适用,把3换成 n 就可以了。  

标准差与标准误的区别[编辑 | 编辑源代码]

标准差与标准误都是心理统计学的内容,两者不但在字面上比较相近,而且两者都是表示距离某一个标准值或中间值的离散程度,即都表示变异程度,但是两者是有着较大的区别的。

首先要从统计抽样的方面说起。现实生活或者调查研究中,我们常常无法对某类欲进行调查的目标群体的所有成员都加以施测,而只能够在所有成员(即样本)中抽取一些成员出来进行调查,然后利用统计原理和方法对所得数据进行分析,分析出来的数据结果就是样本的结果,然后用样本结果推断总体的情况。一个总体可以抽取出多个样本,所抽取的样本越多,其样本均值就越接近总体数据的平均值。  

标准差(standard deviation, STD)[编辑 | 编辑源代码]

表示的就是样本数据的离散程度。标准差就是样本平均数方差的开平方,标准差通常是相对于样本数据的平均值而定的,通常用M±SD来表示,表示样本某个数据观察值相距平均值有多远。从这里可以看到,标准差收到极值的影响。标准差越小,表明数据越聚集;标准差越大,表明数据越离散。标准差的大小因测验而定,如果一个测验是学术测验,标准差大,表示学生分数的离散程度大,更能够测量出学生的学业水平;如果一个侧样测量的是某种心理品质,标准差小,表明所编写的题目是同质的,这时候的标准差小的更好。标准差与正态分布有密切联系:在正态分布中,1个标准差等于正态分布下曲线的68.26%的面积,1.96个标准差等于95%的面积。这在测验分数等值上有重要作用。  

标准误(standard error, SE)[编辑 | 编辑源代码]

表示的是抽样的误差。因为从一个总体中可以抽取出无多个样本,每一个样本的数据都是对总体的数据的估计。标准误代表的就是当前的样本对总体数据的估计,标准误代表的就是样本均数与总体均数的相对误差。标准误是由样本的标准差除以样本人数的开平方来计算的。从这里可以看到,标准误更大的是受到样本人数的影响。样本人数越大,标准误越小,那么抽样误差就越小,就表明所抽取的样本能够较好地代表样本。  

Excel函数[编辑 | 编辑源代码]

关于这个函数在EXCEL中的STDEVP函数有详细描述,EXCEL中文版里面就是用的“标准偏差”字样。但我国的中文教材等通常还是使用的是“标准差”。

在EXCEL中STDEVP函数是另外一种标准差,也就是总体标准差。在繁体中文的一些地方可能叫做“母体标准差”

在R统计软件中标准差的程序为: sum((x-mean(x))^2)/(length(x)-1)  

样本标准差[编辑 | 编辑源代码]

在真实世界中,除非在某些特殊情况下,不然找到一个总体的真实的标准差是不现实的。大多数情况下,总体标准差是通过随机抽取一定量的样本并计算样本标准差估计的。  

应用实例[编辑 | 编辑源代码]

标准差在确定企业最优资本结构中的应用[编辑 | 编辑源代码]

资本结构指的是企业各种资金来源的比例关系,是企业筹资活动的结果。最优资本结构是指能使企业资本成本最低且企业价值最大的资本结构;产权比率,即借入资本与自有资本的构成比例,是反映企业资本结构的重要变量。企业的资产由债务性资金和权益性资金组成,但其

分析图

风险等级和收益率各不相同。根据投资组合理论,投资的多样化可以分散掉一定的风险,因此资金提供者需要决定投资于债务性资金和权益性资金的比例。以便在权衡风险和收益的情况下保证其利益的最大化。

理论探索而外部资金提供者利益的最大化也就是企业价值的最大化,这一投资比例对于企业融资而言也就是企业的最优资本结构比例。

假定某企业的资金通过发行债券和股票两种方式获得,并且都属于风险性资产。σ其中债券的收益率为rD,风险通过标准差σD来衡量;股票的收益率为rE,风险为σE;股票和债券的相关系数pDE,协方差为COV(rD,rE);债券所占的比重wD,股票所占比重为WE(WD + WE = 1)。根据投资组合理论,企业外部投资者对该企业投资所获的期望收益率为E(rp) = WDE(rD) + wEE(rE),方差为

方差

1、企业债务性资金和权益性资金完全正相关,即相关系数pDE为1。企业外部投资者获得的期望收益率为E(rp) = wDE(rD) + wEE(rE),风险标准差为σ = wDσD + wEσE,也就是组合的标准差等于各个部分标准差的加权平均值,通过投资组合不可能分散掉投资风险。根据投资组合理论,投资组合的不同比例对于投资者而言是无差异的。

2、企业债务性资金和权益性资金完全负相关,即其相关系数为-1。投资者获得的报酬率的期望值及其方差分别为。根据投资组合理论,只有当投资比例大于σE / (σD + σE)时其投资组合才是有效的。对于企业筹资而言,也即企业的权益性资金的比例大干σE / (σD + σE),企业的筹资比例才是有效的,而且当组合比例为σE / (σD + σE)时,企业的筹资组合风险为零。

3、企业债务性资金和权益性资金的相关系数大于-1小于1。理论上,一个企业的两种筹资方式之间的相关程度较高,一方面两种筹资方式都承担系统风险,另一方面它们也承担相同的公司风险。因此从实践来看,企业的不同筹资方式间的相关程度不可能是完全的正相关和负相关。对于一个企业而言,债务性资金对企业有固定的要求权,权益性资金对企业只有剩余要求权,因此债务性资金的波动不可能像权益性资金的波动那么大。同时企业的风险会同时影响企业的债务性资金和权益性资金,因此企业的债务性资金和权益性资金的相关系数不可能为负数。企业不同的筹资方式间的相关系数一般在0-1之间。

那么究竟在什么比例下企业的价值才会达到最大呢?根据投资组合理论,当E(r1) > E(r2),且

方差3

时,才能出现r1,优于r2。可见,决定企业资本结构的直接因素主要是不同筹资方式的收益率和风险以及它们之间的相关系数。