医用化学/杂环化合物

来自医学百科

在环状有机化合物中,组成环的原子除碳原子外,还有其它非碳原子时,这类化合物称为杂环化合物。这些非碳原子叫做杂原子,常见的杂原子有氮、氧、硫。

根据以上定义,杂环化合物似乎应包括内酯、交酯和环状酸酐等,但由于它们与相应的开链化合物性质相似,又容易开环变成开链化合物,所以不包括在杂环化合物之内。本章主要讨论那些环系比较稳定,并且有不同程度芳香性的杂环化合物。所谓芳杂环化合物是保留芳香结构即6π电子闭合共轭体系的杂环。这类化合物比较稳定,不易开环,而且它们的结构和反应活性与苯有相似之处,即有不同程度的芳香性,所以称为芳杂环化合物。

一、杂环化合物的分类和命名[编辑 | 编辑源代码]

杂环化合物可按杂环的骨架分为单杂环和稠杂环。单杂环又按环的大小分为五元杂环和六元杂环;稠杂环按其稠合环形式分为苯稠杂环和稠杂环。如表19-1所示。

杂环化合物的命名主要采用外文译音法,把杂环化合物的英文名称的汉字译音加“口”字旁表示。例如:

Gmopq7ef.jpg


呋喃(furan) 吡啶(pyridine)

外文译音法是根据国际通用名称译音的,使用方便,缺点是名称和结构之间没有任何联系。

杂环化合物的环上原子编号,除个别稠杂环如异喹啉外,一般从杂原子开始。

环上只有一个杂原子时,杂原子的编号为1。有时也以希腊字母α、β及γ编号,邻近杂原子的碳原子为α位,其次为β位,再次为γ位。

当杂环上连有-R,-X,-OH,-NH2取代基时,以杂环为母体,标明取代基位次;如果连有-CHO,-COOH,-SO3H等时,则把杂环作为取代基。环上有两个或两个以上相同杂原子时,应从连接有氢或取代基的杂原子开始编号,并使这些杂原子所在位次的数字之和为最小。环上有不同杂原子时,则按氧、硫、氮为序编号。例如:

表19-1 常用杂环化合物的构造式和名称

Gmoppzn8.jpg


Gmoppwzs.jpg


另有特殊编号的,如嘌呤等(见表19-1)。

二、杂环化合物的结构[编辑 | 编辑源代码]

五元杂环化合物呋喃、噻吩、吡咯的结构和苯相类似。构成环的四个碳原子和杂原子(N,S,O)均为sp2杂化状态,它们以σ键相连形成一个环面。每个碳原子余下的一个p轨道有一个电子,杂原子(N,S,O)的p轨道上有一对未共享电子对。这五个p轨道都垂直于五元环的平面,相互平行重叠,构成一个闭合共轭体系,即组成杂环的原子都在同一平面内,而p电子云则分布在环平面的上下方,如图19-1所示。

呋喃、噻吩和苯的分子结构


图19-1 呋喃、噻吩和苯的分子结构

从上图可看出呋喃、噻吩、吡咯的结构和苯结构相似,都是6电子闭合共轭体系,因此,它们都具有一定的芳香性,即不易氧化,不易进行加成反应,而易起亲电取代反应。由于共轭体系中的6个π电子分散在5个原子上,使整个环的π电子云密度较苯大,比苯容易发生亲电取代。同时,α位上的电子云密度较大,因而亲电取代反应一般发生在此位置上,如果α位已有取代基,则发生在β位。

与苯比较,环的芳香稳定性不如苯环,电子云密度分布也不完全平均化。由于杂原子电负性大小不同(O>N>S),电子云离域有差异,所以它们的芳香性强弱有差异,环的稳定性也不同。

含有两个杂原子(其中至少有一个氮原子)的五元杂环称为唑。常见的有咪唑吡唑噻唑

Gmoppych.jpg


咪唑、吡唑、噻唑的电子结构与上述几个环系类似,同样具有闭合的6个电子共轭体系,所以这些杂环也都具有一定的芳香性。例如,咪唑可以看作是吡咯环上氮原子的间位“-CH=”被“-N=”取代的衍生物。这个“-N=”的氮原子上未共用电子对参与环的共轭体系,可与质子结合并保持闭合的6电子共轭体系,所以咪唑也有芳香性,并且显弱碱性(ψKb=6.9)。

六元杂环的结构可以吡啶为例来说明。吡啶在结构上可看作是苯环中的-CH=被-NH=取代而成。5个碳原子和一个氮原子都是sp2杂化状态,处于同一平面上,相互以σ键连接成环状结构。每一个原子各有一个电子在p轨道上,p轨道与环平面垂直,彼此“肩并肩”重叠形成一个包括6个原子在内的,与苯相似的闭合共轭体系。氮原子上的一对未共用电子对,占据在sp2杂化轨道上,它与环平面共平面,因而不参与环的共轭体系,不是6电子大π键体系的组成部分,而是以未共用电子对形式存在,如图19-2所示。

吡啶分子结构


图19-2吡啶分子结构

吡啶分子中的C-C键长(0.139-0.140nm)与苯分子中的C-C键长(0.140nm)相似;C-N键长(0.134nm)较一般的C-N键长(0.147nm)短,但比一般的C=N双键(0.128nm)长。这说明吡啶的键长平均化程度较高,但并不像苯一样是完全平均化的。所以吡啶具有芳香性。然而又由于吡啶环中氮原子的电负性大于碳原子,所以环上的最子云密度因向氮原子转移而降低,亲电取代比苯难。此环上氮原子具有与间位定位基-NO2相仿的电子效应,钝化作用使亲电性取代较苯困难,取代基进入间位,且收率偏低。

吡啶环上的氮原子有一对未共用电子对参与6电子共轭体系,可与质子结合,故其碱性(PKb=8.8)较吡咯(pKb=13.6)强,也比苯胺(pKb=9.3)强,能与强酸作用生成较稳定的盐。但比氨(pKb=4.75)弱,也比脂肪叔胺(三甲胺的pKb=4.22)弱。原因在于吡啶环上未参与共轭体系的这一对未共用电子对处于sp2杂化轨道上,其s成分较sp3杂化轨道多,受原子核束缚强,因而较难与H+结合。

吡啶与水能以任意比例混溶,同时又能溶解大多数极性及非极性有机化合物,它是一个良好的溶剂。吡啶具有高水溶性的原因,除分子极性外,是由于其氮原子上一对未参与环共轭体系的未共用电子对与水分子易形成氢键。而吡啶、呋喃和噻吩杂原子的未共用电子对是6电子闭合共轭体系的组成部分,失去形成氢键的条件,因此难溶于水。

三、重要的杂环化合物及其衍生物[编辑 | 编辑源代码]

(一)吡咯、咪唑及其衍生物

吡咯存在于煤焦油和骨焦油中,为无色液体,沸点131℃。吡喀的蒸气可使浸有盐酸的松木片产生红色,称为吡咯的松木片反应。

吡咯的衍生物广泛分布于自然界,叶绿素、血红素、维生素B12及许多生物碱中都含有吡咯环。

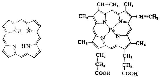
四个吡咯环的α碳原子通过四个次甲基(-CH=)交替连接构成的大环叫卟吩环,旧称环。卟吩的成环原子都在同一平面上,是一个复杂的共轭体系。卟吩本身在自然界中不存在,它的取代物称为卟啉类化合物,却广泛存在。卟吩能以共价键和配位键与不同的金属原子结合,如血红素的分子结构中结合的是亚铁原子。

血红素与蛋白质结合成为血红蛋白,存在于哺乳动物的红细胞中,是运输氧气的物质。

卟吩 血红素


卟吩 血红素

咪唑的衍生物广泛存在于自然界,如蛋白质组成成分的组氨酸。组氨酸经酶的作用或体内分解,可脱羧变成组胺

Gmopq5au.jpg


组氨酸组胺

组胺有收缩血管的作用。人体内组胺含量过多时会发生过敏反应

(二)吡啶的重要衍生物

吡啶的重要衍生物有烟酸烟酰胺异烟肼等。

Gmopq3a7.jpg


烟酸和烟酰胺两者组成维生素PP。它们是B族维生素之一,体内缺乏时能引起糙皮病。烟酸还具有扩张血管及降低血胆固醇的作用。

异烟肼又叫雷米封(Rimifon),为无色晶体或粉末,易溶于水,微溶于乙醇而不溶于乙醚。异烟肼具有较强的抗结核作用,是常用治疗结核病的口服药。

(三)嘧啶及其衍生物

嘧啶是含有两个氮原子的六元杂环化合物。它是无色固体,熔点22℃,易溶于水,具有弱碱性。

嘧啶


嘧啶

嘧啶可以单独存在,也可与其它环系稠合而存在于维生素、生物碱及蛋白质中。许多合成药物如巴比妥类药物、磺胺嘧啶等,都含有嘧啶环。

嘧啶的衍生物如胞嘧啶尿嘧啶胸腺嘧啶核酸的组成成分。

Gmopq6ns.jpg


上述嘧啶衍生物有酮式和烯醇式的互变异构现象。如尿嘧啶的互变异构:

Gmoppxnn.jpg


(四)嘌呤及其衍生物

嘌呤是咪唑环和嘧啶环稠合而成的稠杂环。嘌呤环共有四个氮原子,环的编号比较特殊,它有两种互变异构体,常用标氢法区别。

Gmopq5zv.jpg


结晶态嘌呤为(Ⅰ)式,在水溶液中(Ⅰ)式与(Ⅱ)式则以等比例共存。药物分子中一般多为7H-嘌呤(Ⅰ式)衍生物,生物体中则9H-嘌呤(Ⅱ式)更为常见。

嘌呤为无色晶体。熔点216-217℃,易溶于水,能与强酸或强碱成盐。

嘌呤本身在自然界并不存在,但它的衍生物分布广,而且重要,如腺嘌呤鸟嘌呤等都是核酸的组成成分。

腺嘌呤(A) 鸟嘌呤(G)


腺嘌呤(A) 鸟嘌呤(G)

(6-氨基嘌呤) (2-氨基-6-羟基嘌呤)

次黄嘌呤黄嘌呤尿酸是腺嘌呤和鸟嘌呤在体内的代谢产物,存在于哺乳动物的尿和血中。

次黄嘌呤黄嘌呤尿酸


次黄嘌呤黄嘌呤尿酸

(6-氧嘌呤) (2,6-二氧嘌呤)(2,6,8-三氧嘌呤)

尿酸为无色晶体,极难溶于水,有弱酸性。健康的人每天尿酸的排泄量约为0.5-1g。如代谢紊乱而致尿酸含量过高时,可能沉积形成尿结石。当血中的尿酸含量过高时,可能沉积在关节等处,形成痛风石

上述嘌呤衍生物均有酮式和烯醇式的互变异构现象。如尿酸和黄嘌呤。

尿酸:

尿酸酮式烯醇式


酮式烯醇式

黄嘌呤:

黄嘌呤酮式烯醇式


酮式 烯醇式