卟啉

来自医学百科

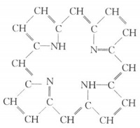
卟啉是一类由四个吡咯类亚基的α-碳原子通过次甲基桥(=CH-)互联而形成的大分子杂环化合物

简介[编辑 | 编辑源代码]

卟啉porphyrin(s)是一类由四个吡咯类亚基的α-碳原子通过次甲基桥(=CH-)互联而形成的大分子杂环化合物。其母体化合物为卟吩(porphin,C20H14N4),有取代基的卟吩即称为卟啉。卟啉环有26个π电子,是一个高度共轭的体系,并因此显深色。“卟啉”一词是对其英文名称porphyrin的音译,其英文名则源于希腊语单词,意为紫色,因此卟啉也被称作紫质。许多卟啉以与金属离子配合的形式存在于自然界中,如含有二氢卟吩与镁配位结构的叶绿素以及与铁配位的血红素。人体内卟啉积累过多时会造成卟啉病,也称紫质症

Bkbfl.jpg

  

性质[编辑 | 编辑源代码]

氯仿-甲醇中结晶深红色,闪光小叶片晶,360℃变深而不熔。溶于哌啶,二恶烷和酚,微溶于氯仿、溴仿、冰醋酸,几乎不溶于丙酮、甲醇、乙醚。铁盐从乙醚中为褐色立方晶体;镁盐为红色针状品;铜盐为褐色针状晶体。卟啉通常是卟吩环与金属(如铁或镁)连在一起构成一个更大的环状结构,是生物体中呼吸色素血红蛋白细胞色素和叶绿素分子等的基本组成部分。  

合成[编辑 | 编辑源代码]

实验室合成[编辑 | 编辑源代码]

实验室中,卟啉通常是用取代醛类和吡咯在酸中的缩合反应来合成的,并且一般需要用路易斯酸催化。反应的产率不高,反应后会产生大量的副产物,可以通过柱色谱法除去。卟啉环与金属盐(如溴化亚铁)作用,可以得到相应的键联金属卟啉

这个合成卟啉的方法一般被称为罗斯曼法(Rothemund)或阿德勒法(Adler)。1936年Rothemund首先合成四苯基卟啉(TPP),他采用吡啶为溶剂,使苯甲醛和吡咯在封管中加热反应数十小时,产率极低,并且可以参与反应的苯甲醛衍生物很少。后来,这个方法被Adler和Longo作了深入研究,改为用丙酸作介质,使芳香醛与吡咯回流反应后,冷却、过滤,滤饼用热水和甲醇分别洗涤,真空干燥晶体,得到卟啉。与Rothemund的方法相比,这个改进法可以获得较高产率(20%)的卟啉,操作简单,适用的取代苯甲醛也较多,因此一直沿用至今。

Bkbfm.jpg

  

生物合成[编辑 | 编辑源代码]

生物体内的卟啉合成以柠檬酸循环中的琥珀酰CoA与甘氨酸作原料。两者发生Claisen缩合并脱羧生成δ-氨基乙酰丙酸(ALA),然后两分子的δ-氨基乙酰丙酸缩合,生成含一个吡咯环的胆色素原(PBG)。胆色素原脱氨酶作用下,四分子的胆色素原反应得到羟甲基胆素(HMB),继续反应得到尿卟啉原Ⅲ,构建出四吡咯环系的框架。尿卟啉原Ⅲ之后又分别转化为粪卟啉原Ⅲ、原卟啉原Ⅸ和原卟啉Ⅸ,并在这里分出了血红素和叶绿素的合成系统。  

其他[编辑 | 编辑源代码]

是卟吩的衍生物。例如血红素是含铁卟啉化合物,叶绿素是含镁的卟啉化合物,维生素B12是含钴的卟啉化合物,它们在生物体内都有作重要的生理功能。

卟啉,英文名称porphyrin.是生物体内的一种具有大共轭环状结构的金属有机化合物。卟吩是其前体,一分子卟吩结合一个金属离子便形成卟啉。卟啉及其衍生化合物广泛存在于生物体内和能量转移的相关的重要细胞器内。在动物体内主要存在于血红素(铁卟啉)和血蓝素(铜卟啉)中,在植物体内主要存在于维生素B12(钴卟啉)和叶绿素(镁卟啉)中,是血细胞载氧进行呼吸作用和植物细胞进行光和作用过程中的关键作用。因此,引起了化学家和生物学家的极大兴趣,人们相信卟啉在能量转移方面有着优异甚至神奇的作用。但卟啉也易因为某些原因在体内与其它物质化合而造成卟啉症,表现为皮炎、皮癣、老年斑等。卟啉化合物在高分子材料、化学催化、电至发光材料、分子靶向药物等不同领域的各个方面都有很大应用,目前世界科学界乃至化工工程学界对卟啉的研究热度正在逐年增加。

卟啉化合物广泛存在于不同时代、不同成因的石油沥青等地质体中。

参看[编辑 | 编辑源代码]