三磷酸鸟苷

来自医学百科
Bk5v6.jpg

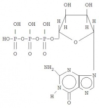
三磷酸鸟苷 (GTP)即是鸟嘌呤-5'-三磷酸。在生物化学的全名为9-β-D-呋喃核糖鸟嘌呤-5'-三磷酸,或者是9-β-D-呋喃核糖-2-氨基-6-氧-嘌呤-5'-三磷酸。GTP是DNA复制时的引物(Primer,其实是RNA)和转录(即是mRNA的生物合成)时的鸟嘌呤核苷酸的提供者。它是三羧酸循环琥珀酸辅酶A转变为琥珀酸过程中的能量载体,它可以和ATP相互转换。

GTP也是细胞信号传导的重要物质,在此过程中它会在GTPase作用下转化为GDP。  

三磷酸鸟苷钠的基本信息[编辑 | 编辑源代码]

英文名:[编辑 | 编辑源代码]

guanosine triphosphate(-Na2)  

别名:[编辑 | 编辑源代码]

鸟三磷;鸟苷三磷酸;5'-鸟嘌呤核苷三磷酸二钠盐;GTP;guanoslne-5'-triphosphate disodium salt;5-GTP-Na2

CAS号:  

产品名称:[编辑 | 编辑源代码]

三磷酸鸟苷钠

分子结构:

分子式:  

三磷酸鸟苷钠的详情描述[编辑 | 编辑源代码]

性质:[编辑 | 编辑源代码]

在细胞内GTP在鸟苷酸环化酶的作用下所产生的cGMP与ATP所产生的cAMP共同对细胞功能起着互相制约的调节作用。本品为白色或类白色粉末,无臭,有引湿性。在水中易溶,在醇、氯仿中不溶。它为细胞的正常成分,参与许多生化反应,其所含高能键蛋白质的生物合成(氨基酸的进位和链的移位)提供能量。  

标准:[编辑 | 编辑源代码]

1.原料药 沪Q/WS-1-733-80

指标名称 指标

含量(C10H14N5Na2O14P3.H2O)/% ≥70.0

溶液澄清度 澄清无色

pH值 6.0~8.0

蛋白质 无

干燥失重/% ≤5.0

消光比值

250nm/260nm 0.96±0.04

280nm/260nm 0.67±0.02

290nm;260nm 0.49±0.05

热原 符合规定

2.注射剂 沪Q/WS-1-734-80

指标名称 指标

含量(C10H14N5Na2O14P3) 应为标示量的85.0%以上

溶液澄明度 澄清

溶液pH值 6.0~8.0

干燥失重/% ≤5.0

热原无菌 符合规定  

用途:[编辑 | 编辑源代码]

用于慢性肝炎进行性肌萎缩视力减退疾病的辅助治疗。  

安全性:[编辑 | 编辑源代码]

遮光,密闭,在冷暗处保存。