预防医学/配对资料的比较
一、符号检验(sign test)[编辑 | 编辑源代码]
此法主要用于配对资料的比较,现以表21-1资料为例介绍其方法步骤。
例21.112名宇航员行前及返航后24小时的心率变化如表21-1所示,试问航行对心率有无影响?
表21-1宇航员航行前后的心率(次/分)及符号检验计算表
| 宇航员编号(1) | 航前(2) | 航后(3) | (2)-(3)差数的符号(4) |
| 1 | 76 | 93 | - |
| 2 | 71 | 68 | + |
| 3 | 70 | 65 | + |
| 4 | 61 | 65 | - |
| 5 | 80 | 93 | - |
| 6 | 59 | 78 | - |
| 7 | 74 | 83 | - |
| 8 | 62 | 79 | - |
| 9 | 79 | 98 | - |
| 10 | 72 | 78 | - |
| 11 | 84 | 90 | - |
| 12 | 63 | 60 | + |
(一)建立检验假设
H0:宇航对心率无影响,即差值的“正”、“负”号个数相等
H1:宇航对心率有影响,即差值的“正”、“负”号个数不等
α=0.05
(二)将各对数据中,航前大于航后者记为“+”,航前小于航后者记为“-”,航前等于航后者记为“0”,列于表21-1第(4)栏。
(三)分别数出“+”“-”号的个数,并以“+”号的个数作为a,“-”号的个数作为b ,代入式(21.1)
公式(21.1)
本例a=3,b=9
v=1,x20..05(1)=3.84,今x2=2.083<3.84,P>0.05,按α=0.05检验水准不拒绝H0,因此尚不能认为宇航对心率有影响。
二、符号秩和检验(Wilcoxon法)[编辑 | 编辑源代码]
符号等级检验(signedrank test)是上述方法的改进,是在观察“+”“-”号个数的基础上亦考虑差值的大小,通过对差值偏秩求和进行检验的,故效果较好。仍以例21,1介绍其方法步骤。
表21-1宇航员航行前后的心率(次/分)比较
| 宇航员号(1) | 航前(2) | 航后(3) | 差值(4)=(2)-(3) | 秩次 | |
| +(5) | -(6) | ||||
| 1 | 76 | 93 | -17 | 9 | |
| 2 | 71 | 68 | 3 | 1 | |
| 3 | 70 | 65 | 5 | 4 | |
| 4 | 61 | 65 | -4 | 3 | |
| 5 | 80 | 93 | -13 | 8 | |
| 6 | 59 | 78 | -19 | 11 | |
| 7 | 74 | 83 | -9 | 7 | |
| 8 | 62 | 79 | -17 | 10 | |
| 9 | 79 | 98 | -19 | 12 | |
| 10 | 72 | 78 | -6 | 5 | |
| 11 | 84 | 90 | -6 | 6 | |
| 12 | 63 | 60 | 3 | 2 | |
| 合计 | 7 | 71 | |||
(一)建立假设
H0:宇航对心率无影响,即差值的总体中位数M=0
H1:宇航对心率有影响,即差值的总体中位数M≠0
α=0.05
(二)求各对数值的差数如表21-2第(4)栏
(三)编秩按差值的绝对值由小到大编秩,将秩次按差值的正负分两栏,如表21-2第(5)、(6)栏。注意:编秩时,遇有几个绝对值相等、符号相反的差值时,各取平均秩次;符号相同的相等差数,可不必取平均秩次;遇有差值为0的,则弃去不计,随之从相应的对子数n中减去。
(四)确定统计量t 分别求正负秩次之和,以绝对值较小者为统计量T,如表21-2第(5)、(6)两栏的合计。本例T=7。
(五)确定P值,作出推论
1.查表法用于对子数n≤25时,根据对子数n查附表21-1符号秩和检验临界值表。若现有统计量T值大于表中相应的界值T0.05,则P>0.05;若现有统计量小于或等于表中相应的T0.05,则P≤0.05。本例对子数n=12,查表得T0.01=7,本例T=7,故P=0.01,按α=0.05检验水准拒绝H0,可认为宇航对心率有影响,使心率增快。由此看出符号秩和检验比符号检验效率高。
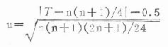
2.正态近似法对子数n>25时,按式(21.2)计算统计u值。
公式(21.2)
因统计量为u值,按表19-3所示关系作出判断。