预防医学/病例对照研究资料分析

来自医学百科

一、成组病例对照资料分析[编辑 | 编辑源代码]

(一)资料整理的构架

成组病例对照研究资料可按表29-2所示的四格表整理。

表29-2 病例对照研究资料整理表

暴露史或特征 病例 对照 合计
a b a+b=n1
c d c+d=n0
合计 a+c=m1 b+d-m0 a+b+c+d=T

从表29-2可见,病例对照研究对比的是病例组的曾暴露率即a/a+c和对照组的曾暴露率b/b+d。如a/a+c>b/b+d,并经统计学检验证实差异有统计学意义,则暴露与疾病有联系。

(二)资料分析

1.比较病例组和对照组的暴露比,并作x2检验。最简单的情况是因素与结局都只分为“有”或“无”两类,结果可归纳2×2表(表29-4)。

2.测定这两个比的差异有无统计学意义,可用一般四格表x2检验或修正x2检验。若两组差异有统计学意义,说明该暴露因素与疾病存在联系,则进一步求比值比

3.求比值比某因素与某疾病如存在联系,则进一步估计其联系的强度。联系强度可用比值比(odds ratio,缩写为OR)估计。

比值(odds)是指某事物发生的概率与不发生的概率之比。从表29-4资料中,病例组和对照组有暴露史与无暴露史的概率分别为a/m1、c/m1、b/m0和d/m0

病例组的比值=a/m1/c/m1=a/c

对照组的比值=b/m0/d/m0=b/d

则比值比(odds ratio)=a/c/b/d=ad/bc

即  OR=ad/bc  公式(29.2)

当OR>1时,说明病例组的暴露频率大于非病例组的,即暴露有较高的发病危险性;反之,当OR<1时,说明病例组的暴露概率低于非病例组的,即暴露有保护作用。疾病与暴露联系愈密切,比值比的数值愈大。

4.计算比值比的可信限由于比值比是对这种联系程度的一个点估计,但是估计值总是有其变异性,计算出这个变异的区间有助于进一步了解联系的性质及程度,因此,需对OR值估计其可信区间。一般采用95%的可信限。

Guma6p37.jpg (29.3)

Z为正态离差值,

OR 95%可信限Z=1.96

OR 90%可信限Z=1.645

OR可信区间的计算除了有助于估计变异范围的大小外,还有助于检验OR值的判断意义,如区间跨越大,则判断暴露与疾病危险联系强度的作用小。

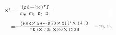
实例Doll和Hill在1950年报告吸烟与肺癌关系的病例对照研究结果如表29-3。

表29-3 吸烟与肺癌关系

吸烟史 肺癌病人 对照 合计
688 650 1338
21 59 80
合计 709 709 1418

1.x2检验

Guma6lpu.jpg


自由度=1,P<0.001

2.计算比值比OR

Guma6s9h.jpg


3.计算OR95%可信限

Guma6vj0.jpg


故OR95%可信限为1.83~4.90

二、1:1配比病例对照资料分析[编辑 | 编辑源代码]

在病例对照研究中,常常应用配比方法,即将病例与对照按1:1或1:R配成对,在调查或分析时均将此一组病例和对照作为一组而不要拆开。配比对照的目的是排除混杂因素的影响。

(一)资料整理构架

将资料按下列格式整理(表29-4)。

(二)显着性检验

检验暴露史是否与疾病有联系。

表29-4 配比病例对照研究资料整理构架

对照 病例 合计(配比数)
有暴露史 无暴露史
有暴露史 a b a+b
无暴露史 c d c+d
合计(配比数) a+c B+d a+b+c+d=T

Guma6ytw.jpg (29.4)

其校正公式为

Guma6ikb.jpg 公式(29.5)

自由度=1

(三)计算比值比OR

OR=c/b 公式(29.6)

(四)计算比值比的可信限

Guma6p37.jpg 公式(29.7)

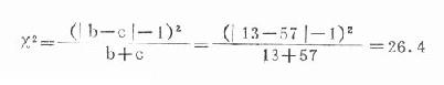
实例Sartwell等研究了美国口服避孕药与妇女患血栓栓塞的关系。共调查了175对病例与对照。对象是在1964~1968年从五个国城市选择的15~44岁妇女,并以1:1配对方法选择对照。然后调查她们在入院前一个月内是否使用避孕药,其调查结果见表29-5。

表29-5 口服避孕药史与血栓栓塞关系的配对研究

对照 病例 共配对数
有用避孕药史 无用避孕药史
有用避孕药史 10 13 23
无用避孕药史 57 95 152
共配对数 67 108 175

1.X2检验

Guma720h.jpg


自由度=1P<0.001

2.计算比值比OR

OR=c/d=57/13=4.4

3.计算OR95%可信限

Guma6f5x.jpg


故OR95%可信限为2.5~7.6

以上结果说明,所研究的美国某种避孕药暴露史与妇女患血栓栓塞有联系。其比值比95%可信限为2.5~7.6。