预防医学/率的抽样误差和总体率的估计
一、率的标准误[编辑 | 编辑源代码]
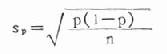
用抽样方法进行研究时,必然存在抽样误差。率的抽样误差大小可用率的标准误来表示,计算公式如下:
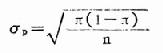
公式(20.5)
式中:σp为率的标准误,π为总体阳性率,n为样本含量。因为实际工作中很难知道总体阳性率π,故一般采用样本率p 来代替,而上式就变为
公式(20.6)
例 20.5河北省组织高碘地方性甲状腺肿流行病学调查,作者调查了饮用不同碘浓度井水居民甲状腺肿的患病情况,其中有两组资料如下表,试分别求出率的标准误。
| 水中含碘量均数(μg/L) | 受检人数 | 患病人数 | 患病率(%) |
| 458.25 | 3315 | 59 | 1.78 |
| 825.95 | 3215 | 180 | 5.60 |
计算法:第一组:n1=3315,p1=1.78%=0.0178
1-p1=1-0.0178=0.9822
第二组:n2=3215,p2=5.60%=0.056
1-p2=1-0.056=0.944
二、总体率的可信区间[编辑 | 编辑源代码]
由于样本率与总体率之间存在着抽样误差,所以也需根据样本率来推算总体率所在的范围,根据样本含量n和样本率P的大小不同,分别采用下列两种方法:
(一)正态近似法
当样本含量n足够大,且样本率P和(1-p)均不太小,如np或n(1-p)均≥5时,样本率的分布近似正态分布,则总体率的可信区间可由下列公式估计:
总体率(π)的95%可信区间:p±1.96sp
总体率(π)的99%可信区间:p±2.58sp
例如前述两组高碘地方性甲状腺肿患病率的总体患病率可信区间为:
第一组:
95%可信区间为1.78%±1.96×0.23%=1.33%~2.23%
95%可信区间为1.78%±2.58×0.23%=1.19%~2.37%
第二组:
95%可信区间为5.6%±1.96×0.41%=4.80%~6.40%
95%可信区间为5.6%±2.58×0.41%=4.54%~6.66%
(二)查表法
当样本含量n较小,如n≤50,特别是p接近0或1时,则按二项分布原理确定总体率的可信区间,其计算较繁,读者可根据样本含量n和阳性数X参照专用统计学介绍的二项分布中95%可信限表。