鞘氨醇

来自医学百科
模板:Chembox IUPACName模板:Chembox Elements
鞘氨醇
Sphingosine
识别
CAS号 123-78-4
PubChem 1104
SMILES
性质
若非注明,所有数据均出自一般条件(25 ℃,100 kPa)下。

鞘氨醇(Sphingosine)又称神经鞘氨醇学名2-氨基-4-十八烯-1,3-二醇,是一种含有不饱和烃基链的十八碳氨基醇。鞘氨醇属于鞘脂类,为细胞膜组成成分之一。

功能[编辑 | 编辑源代码]

鞘氨醇在体内可在两种激酶——鞘氨醇激酶1和鞘氨醇激酶2的催化下被磷酸化产生鞘氨醇-1-磷酸,后者是一种有力的信号脂类分子

鞘脂代谢物神经酰胺、鞘氨醇与鞘氨醇-1-磷酸,均为信号脂类分子,参与多种细胞过程。

生物合成[编辑 | 编辑源代码]

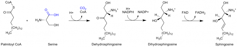
棕榈酰CoA丝氨酸缩合,得到脱氢鞘氨醇。


鞘氨醇合成

然后脱氢鞘氨醇被NADPH还原为二氢鞘氨醇,后者再被FAD氧化为鞘氨醇。

参考资料[编辑 | 编辑源代码]

图片[编辑 | 编辑源代码]

外部链接[编辑 | 编辑源代码]

模板:氨基醇 模板:鞘脂

参考来源[编辑 | 编辑源代码]