长春碱

来自医学百科
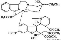
Bk0nr.jpg

长春碱(vinblastine) (长春新碱)

一种双吲哚生物碱。分子式C46H58N4O9。存在于夹竹桃科植物长春花中。甲醇重结晶时为针状结晶。熔点211~216℃,比旋光度+42°(氯仿)。溶于氯仿、丙酮乙醇。其硫酸盐熔点284~285℃,-28°(甲醇) ;盐酸盐熔点244~246℃ (分解)。长春碱硫酸盐可用于治疗何杰金氏病绒毛膜上皮癌,疗效较好;对淋巴肉瘤网状细胞肉瘤急性白血病(VP,VDLP方案中的"V","P"为柔红霉素)、乳腺癌、圣母细胞瘤卵巢癌睾丸癌神经母细胞瘤恶性黑色素瘤等也有一定疗效。原理:抑制真核细胞微管的聚合。