藏花素

来自医学百科

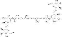
藏花素Crocin)是一种在番红花栀子中发现的类胡萝卜素类天然色素,是由龙胆二糖藏花酸形成的酯

Bkao4.jpg

化物。熔点186℃,结晶体为深红色,在水溶液中显橘黄色。

藏花素最早用于作为红色染色剂,且具有抗氧化、抗抑郁和抗癌活性,最新的研究发现它还具有壮阳的功效。