葡萄糖酸

来自医学百科

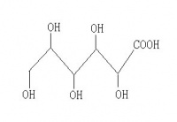
葡萄糖酸(gluconic acid),葡萄糖衍生的糖,分子式C6H12O7。为结晶状化合物;熔点131℃,比旋光度[α]-6.7°;呈弱酸性;溶于水,微溶于乙醇。在水溶液中,转化为γ-葡萄糖酸内酯和 δ-葡萄糖酸内酯的平衡混合物。在温和条件下,D-葡萄糖经次溴酸氧化或在碱性介质中电极氧化,可以得到D-葡萄糖酸内酯,然后缓慢水解,可以得到游离D-葡萄糖酸。工业上,葡萄糖酸大都从玉米得到的葡萄糖经细菌氧化的方法制备。因为制备固体结晶产物困难,商品葡萄糖酸大都是50%水溶液。其铵盐较为稳定,是针状结晶,通水蒸气即可分解为葡萄糖酸。D-葡萄糖酸的钙盐、亚铁盐、铋盐及其他盐类已广泛用于化学治疗。葡萄糖酸的金属络合物在碱性体系中广泛用作金属离子的掩蔽剂。

Bkhd3.jpg

   CAS号:526-95-4

中文名称:葡萄糖酸

英文名称:Gluconic acid

学名:1,2,3,4,5-五羟基己酸

分子式:C6H12O7

分子量:196.1566