匿名
未登录
讨论
贡献
登录
医学百科
搜索
药理学/人工合成镇痛药
来自医学百科
名字空间
页面
更多
更多
语言
页面选项
Read
编辑
编辑源代码
历史
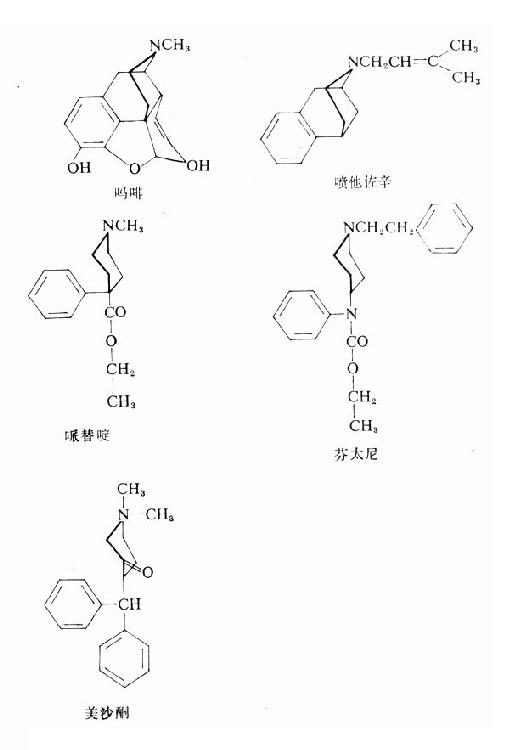
吗啡
易成瘾,是其严重缺点。为了寻找更好的代用品,合成了
哌替啶
、
安那度
、
芬太尼
、
美沙酮
、
喷他佐辛
、
二氢埃托啡
等药,它们的
成瘾性
均较吗啡轻。较常用的几个药物的
化学
结构见图18-3
图18-3 常用的几种人工合成
镇痛药
的化学结构
分类
:
药理学正文
图书正文
导航
导航
症状百科
疾病百科
药品百科
中医百科
中药百科
人体穴位图
全国医院列表
功能菜单
最近更改
随机页面
Wiki工具
Wiki工具
上传文件
特殊页面
页面工具
页面工具
用户页面工具
更多
链入页面
相关更改
可打印版本
固定链接
页面信息
页面日志
分类
分类
药理学正文
图书正文