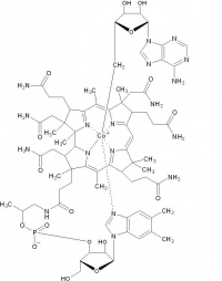
腺苷钴胺

来自医学百科
Bk4cn.jpg

通用名称:腺苷钴胺

英文名称:Cobamamide

中文别名:辅酶-B12、辅酶维B12辅酶维生素B12

英文别名:Coenzyme B12、Coenzyme Vitamin B12

【药理】

是氰钴型维生素B12的同类物,即其CN基被腺漂呤核苷取代,成为5'-脱氧腺苷钴胺,它是体内维生素B12的两种活性辅酶形式之—,是细胞生长繁殖和维持神经系统髓鞘完整所必需的物质。本品可直接吸收利用,活性强,与组织细胞亲和力强,排泄较馒.

适应症

主要用于巨幼红细胞性贫血营养不良贫血妊娠期贫血、亦用于神经性疾患如多发性神经炎神经根炎三叉神经痛坐骨神经痛神经麻痹、营养性神经疾患以及放射线和药物引起的白细胞减少症

【用法用量】

口服,成人一次-0.5mg,一日-3次;肌注,一日-1mg。

[制剂]片剂:每片 0.25mg。注射液:每支 500μg(1ml)。

[贮藏]避光、密闭存放。注射液启封后要尽快使用。

不良反应

可诱发心律失常.