美洛西林钠
美洛西林钠是一种高效苯咪唑青霉素类抗生素,从胃肠道吸收困难,常用其钠盐供肠道外给药。本品抗菌作用类似于羧苄青霉素,但其作用范围更广,抗菌谱也较天然青霉素广泛。美洛西林是一种经肠道外给药的酰脲青霉素衍生物,大剂量时有杀菌作用。美洛西林的抗菌谱基本上与氨苄青霉素和羧苄青霉素的抗菌谱相同。
基本信息[编辑 | 编辑源代码]
药品名称[编辑 | 编辑源代码]
美
洛西林钠
英文名称[编辑 | 编辑源代码]
Mezlocillin Baypen
化学名称[编辑 | 编辑源代码]
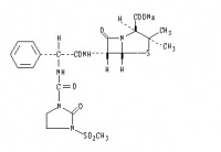
要成份为美洛西林钠,其化学名称为(2S,5R,6R)-3,3-二甲基-6-[(R)-2[3-(甲磺酰)-2-氧代-1-咪唑烷甲酰氨基]-2-苯乙酰氨基]-7-氧代-4-硫杂-1-氮杂双环[3.2.0]-庚烷-2-甲
酸钠盐。
药品性状[编辑 | 编辑源代码]
为白色或类白色的粉末或结晶或疏松块状物。
可溶特征[编辑 | 编辑源代码]
美洛西林钠易溶于水、甲醇、二甲基甲酰烷,难溶于乙醇,极难溶于丙酮,几乎不溶于异丙醇、乙醚、氯仿、醋酸乙酯等。
发展过程[编辑 | 编辑源代码]
美洛西林钠(Mezloeillin Sodium)是1968年联邦德国拜尔公司在研究氨节青霉素a一氨基酞化衍生物时发现的。1977年在联邦德国首先上市,1981年国FDA正式批准该药在美国上市,20世纪80年代以来先后在美国、日本、意大利、荷兰、瑞士等国上市。本药作为第三代半合成青霉素已在国外广泛使用。
药理毒理[编辑 | 编辑源代码]
为
半合成青霉素类抗生素,对铜绿假单胞菌、大肠埃希菌、肺炎杆菌、变形杆菌、肠杆菌属、枸橼酸杆菌、沙雷菌属、不动杆菌属以及对青霉素敏感的革兰阳性球菌均有抑菌作用,大剂量有杀菌作用。对大肠埃希菌、肠杆菌属、肺炎杆菌、枸橼酸杆菌、沙雷菌属以及不动杆菌属等的抗菌活性强于羧苄西林、氨苄西林;对吲哚阳性变形杆菌、铜绿假单胞菌的抗菌活性强于羧苄西林和磺苄西林;对革兰阳性菌如金黄色葡萄球菌的抗菌活性与羧苄西林相似,而对粪链球菌的抗菌活性比羧苄西林、磺苄西林优越。对脆弱拟杆菌等大多数厌氧菌具有较好抗菌作用。
体外试验表明其对细菌所产生的ß-内酰胺酶不稳定。
与庆大霉素、卡那霉素等氨基糖苷类抗生素联合应用有显著协同作用。
抗菌作用[编辑 | 编辑源代码]
抗菌谱[编辑 | 编辑源代码]
美洛西林钠舒巴坦钠,属青霉类广谱抗生素,主要对革兰阳性菌、革兰阴性球菌及放线菌等高度敏感,如对葡萄球菌、链球菌及
双球菌等高度敏感;对白喉棒状杆菌、炭疽杆菌、梭状牙胞杆菌、牛放线菌、念球链杆菌、单核细胞增多性李司忒菌、梅毒螺旋体、钩端螺旋体、淋病奈瑟菌和脑膜炎双球菌同样敏感;且对耐药金黄色葡萄球菌有效。
作用机制[编辑 | 编辑源代码]
美洛西林钠舒巴坦钠为美洛西林钠和舒巴坦钠按4∶1组成的复方制剂。美洛西林主要通过干扰细菌细胞壁黏肽的合成,使之不能交联而造成细胞壁的缺损,既能使细菌在生长期中细胞壁合成被抑制,又能促使细胞壁的分解,从而导致细菌死亡。这一过程发生在细菌细胞的繁殖期。细菌细胞有细胞壁,而哺乳动物的细胞无细胞壁,所以它的杀菌作用主要是针对分裂期的细胞,对细胞内细菌、潜伏的细菌及无细胞壁的微生物无任何作用,因而对人体无毒性作用。
制备方法[编辑 | 编辑源代码]
先用氨苄西林合成美洛西林酸,然后使美洛西林酸在乙酸酯溶媒中与钠成盐剂作用,析出美洛西林钠结晶,常规方法干燥得成品。
具体步骤:
(1)在碱性条件下,使氨苄西林与1-氯甲酰基-3-甲磺酰基咪唑烷酮反应制得美洛西林钠溶液,控制溶液至酸性,折出美洛西林酸结晶;
(2)将美洛西林酸结晶溶解,加入乙酸酯溶媒,控制溶液至酸性,静止分层,将酯层洗涤后进行脱水、脱色处理,然后与钠成盐剂作用析出美洛西林钠结晶,常规方法干燥得成品。
药代动力学[编辑 | 编辑源代码]
成人静脉
注射1g、2g后15分钟平均血药浓度分别为53.4g/ml、152g/ml,1小时后分别为12.8g/ml、47.8g/ml,6小时后已无法测得血药浓度,血消除半衰期(t1/2)分别为39分钟、45分钟,6小时后给药量的42.5%、57.9%由尿中排泄。1小时内静脉滴注2g,滴注结束时血药浓度为86.5g/ml,1小时后为28.3g/ml,血消除半衰期(t1/2)为40分钟。本品在胆汁中浓度极高,1小时内滴注2g,最高可达248~1070g/ml,6小时后仍保持63.5~300g/ml,胆汁排泄率为1.65%~7.0%。
到达脑脊液的渗透率为17%~25%,蛋白结合率为42%,尿排泄率为50%~55%,胆汁消除率变化较大,从0.05%~25%(与患者肝功能有关)。其生物半衰期约为1小时,肌注约为1.5小时,小于7天的新生儿约为4.3小时。
在新生儿静滴100mg/kg后,血药浓度的降低较缓慢,5小时后尚可检出。在小儿脑膜炎病例中,脑脊液内药物浓度最高可达23g/ml。小儿脓胸,在静脉滴注100mg/kg后,胸水中最高浓度达到6.3g/ml,而且持续时间很长。
妊娠妇女静脉滴注1~2g,1~2小时后27%~34%转移至脐带血中,羊水中药物浓度约为10g/ml。
适应症状[编辑 | 编辑源代码]
用于大肠埃希菌、肠杆菌属、变形杆菌等革兰阴性杆菌中敏感菌株所致的呼吸系统、泌尿系统、消化系统、妇科和生殖器官等感染,如败血症、化脓性脑膜炎、腹膜炎、骨髓炎、皮肤及软组织感染及眼、耳、鼻、喉科感染。
用法用量[编辑 | 编辑源代码]
肌内注
射、静脉注射或静脉滴注。肌内注射临用前加灭菌注射用水溶解,静脉注射通常加入5%葡萄糖氯化钠注射液或5%~10%葡萄糖注射液溶解后使用。
成人一日~6g(2-6支),严重感染者可增至8~12g(8-12支),最大可增至15g(15支)。
儿童,按体重一日~0.2g/kg[(1/10-2/10支)/kg],严重感染者可增至0.3g/kg[(3/10支)/kg];肌内注射一日~4次,静脉滴注按需要每6~8小时一次,其剂量根据病情而定,严重者可每4~6小时静脉注射一次。
不良反应[编辑 | 编辑源代码]
不良反应主要有:食欲缺乏、恶心、呕吐、腹泻、肌注局部疼痛和皮疹,且多在给药过程中发生,大多程度较轻,不影响继续用药,重者停药后上述症状迅速减轻或消失。少数病例可出现血清氨基转移酶、碱性磷酸酶升高及嗜酸性粒细胞一过性增多。中性粒细胞减少、低钾血症等极为罕见。未见肾功能改变以及血液电解质紊乱等严重反应。主要影响为:
1.血液学影响:少数患者用药后可引起白细胞总数减少、血小板减少、嗜酸粒细胞增多。 2.心血管系统的影响:少数患者静脉给药时偶可出现血栓性静脉炎。
3.中枢神经系统的影响:有报道美洛西林对中枢神经系统的潜在毒性为惊厥和神经肌肉应激性过高。这些毒性反应在肾功能下降的老年患者中尤易出现。偶见用药时导致癫痫发作的报道。
4.内分泌/代谢系统的影响:偶有使用美洛西林治疗时出现低钾血症的报道,尤见于癌症患者用药中。
5.胃肠道的影响:使用美洛西林治疗后,少数患者可出现食欲减退、腹泻等消化道症状。
6.肾脏/泌尿生殖系统的影响:有报道在美洛西林治疗中,患者偶见出现间质性肾炎。
7.肝脏的影响:有报道在美洛西林治疗中,患者可发生肝功能异常。出现血清转氨酶(天门冬氨酸转氨酶和丙氨酸转氨酶)升高。
8.皮肤的影响:有报道在美洛西林治疗期间,少数患者可出现多种皮肤反应,如全身性皮疹、发热、荨麻疹、瘙痒等。
使用禁忌[编辑 | 编辑源代码]
对青霉素类抗生素过敏者禁用。
给药说明[编辑 | 编辑源代码]
1.使用美洛西林前应注意询问患者青霉素过敏史并注意患者有无其它过敏疾患。
2.使用美洛西林前必须作皮肤过敏试验。可以用青霉素G皮试液作皮试,也可以用美洛西林注射液配制皮试液,皮内注射0.05-0.1mL,20分钟后观察结果,皮试阳性反应者不能使用。如发生过敏性休克反应,抢救原则和方法与处理青霉素G过敏反应相同。
3.用药时需严格掌握静脉注射时间,0.5g剂量的注射时间为15-20分钟;早产儿和新生儿要延长输注时间。肾功能不全病人给药间隔时间应大于12小时。
4.5%的葡萄糖水溶液与美洛西林合用时,在20℃以下,24小时内超过10%的美洛西林会分解。美洛西林稀释溶液在冰箱内保存不得超过24小时。
5.美洛西林与酸性溶液(pH4.5以下)、碱性溶液(pH8.0以上)有配伍禁忌。
6.美洛西林与丁胺卡那霉素、乙胺碘肤酮、氟哌酸、非格司亭、庆大霉素、柔红霉素、卡那霉素、哌替啶、新霉素、乙基西梭霉素等药有配伍禁忌。
7.药物过量时的处理:
(1)由于无特效解毒药,因此美洛西林钠过量治疗主要为对症及支持治疗。
(2)对发生严重过敏反应的患者应立即治疗,治疗措施包括肾上腺素肠道外给药、给氧或气管插管以及静脉内使用皮质类固醇。
(3)血液透析有助于清除血液中药物。
注意事项[编辑 | 编辑源代码]
1、用药前须做青霉素皮肤试验,阳性者禁用。
2、美洛西林与青霉素类药物有交叉过敏。交叉过敏反应:对一种青霉素类抗生素过敏者可能对其他青霉素类抗生素也过敏。也可对青霉胺或头孢菌素类过敏。 对美洛西林过敏者禁用;对其它任何一种青霉素类药物过敏者禁用。
3、慎用于以下情况
(1)凝血功能异常患者慎用。
(2)对头孢菌素类药或其它过敏原过敏患者慎用。
(3)严重肝、肾功能障碍者慎用。
4、使用美洛西林时,可使尿糖试验(Clinitest法)出现假阳性;在美洛西林治疗期间尿蛋白试验结果可呈现阳性;少数患者用药后可出现白细胞总数减少、血小板降低、嗜酸粒细胞增多;血钾降低;血清转氨酶(天门冬氨酸转氨酶和丙氨酸转氨酶)升高。
5、长期用药时应常规检测肝、肾功能及血象;长期大剂量用药时应监测血钾浓度。
6、对诊断的干扰:(1)用药期间,以硫酸铜法进行尿糖测定时可出现假阳性,用葡萄糖酶法者则不受影响;(2)大剂量注射给药可出现高钠血症;(3)可使血清丙氨酸氨基转移酶或门冬氨酸氨基转移酶升高。
特殊人群[编辑 | 编辑源代码]
孕妇及哺乳期妇女用药
本品可透过胎盘进入胎儿血循环,并有少量随乳汁分泌,哺乳期妇女应用本品虽尚无发生严重问题的报告,但孕妇及哺乳期妇女应用仍须权衡利弊,因其应用后可使婴儿致敏和引起腹泻、皮疹、念球菌属感染等。
老年患者用药
老年患者肾功能减退,须调整剂量。
相互作用[编辑 | 编辑源代码]
1.氯霉素、红霉素、四环素类等抗生素和磺胺药等抑菌剂可干扰本品的杀菌活性,不宜与本品合用,尤其是在治疗脑膜炎或急需杀菌剂的严重感染时。
2.丙磺舒、阿司匹林、吲哚美辛、保泰松、磺胺药可减少本品自肾脏排泄,因此与本品合用时使其血药浓度增高,排泄时间延长,毒性也可能增加。
3.本品与重金属,特别是铜、锌和汞呈配伍禁忌,因后者可破坏其氧化噻唑环。由锌化合物制造的橡皮管或瓶塞也可影响其活力。也可为氧化剂、还原剂或羟基化合物灭活。
4.本品静脉输液加入头孢噻吩、林可霉素、四环素、万古霉素、琥乙红霉素、两性霉素B、去甲肾上腺素、间羟胺、苯妥英钠、盐酸羟嗪、丙氯拉嗪、异丙嗪、维生素B族、维生素C等后将出现混浊。
5.避免与酸碱性较强的药物配伍,pH4.5以下会有沉淀发生,pH4.0以下及pH8.0以上效价下降较快。
6.可加强华法林的作用。
7.与氨基糖苷类抗生素合用有协同作用,但混合后,两者的抗菌活性明显减弱,因此两药不能置同一容器内给药。
研究发展[编辑 | 编辑源代码]
美洛西林钠是一种新型半合成青霉素。在以往的文献中其合成过程中都要使用剧毒品光气作为反应物。今以2-咪唑烷酮为起始原料,经甲磺酰化、酰化等四步反应,合成了酰脲类青霉素美洛西林钠。在合成过程中用氯甲酸三氯甲酯替代光气对其重要中间体l-氯甲酰基-3-甲磺酰基-2-咪唑烷酮的合成工艺进行了改进,不仅避免了使用光气,而且收率也从文献值70%提高到75%。
参看[编辑 | 编辑源代码]
| |||||||||||||||||||||||||||||||||||||||||||||||||||||||||||||||||||||||||||||||
