筒箭毒碱

来自医学百科
Bk5z2.jpg

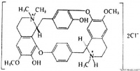
筒箭毒碱(tubocurarine),一种双苄基异喹啉生物碱。存在于防己科植物中,为筒箭毒的主要有毒成分之一。1879年R.伯姆首先提纯。其无水物熔点274~275℃(分解);含5分子结晶水的水合物约在270℃分解,比旋光度[α]+190°(0.5克/100毫升水),算出无水物的[α]+215°;在水中的溶解度为50毫克/毫升(22℃),易溶于甲醇乙醇,不溶于吡啶氯仿、苯、丙酮

氯化筒箭毒碱具有使横纹肌松弛的作用,可用于外科手术。中国科学工作者从傣药亚手奴(学名防己科植物锡生藤)中分离出外消旋筒箭毒碱,经甲基化制成其碘甲烷盐,称傣肌松,已用于外科手术作横纹肌松弛剂。近年来中国科学工作者从海南轮环藤毛叶轮环藤中分离出左旋筒箭毒碱(筒箭毒的主要有毒成分之一),其季铵盐已投产并用于临床。

参看[编辑 | 编辑源代码]