甲基绿
来自医学百科
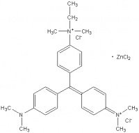
甲基绿分子结构图
英文名称:Methyl Green
分子式:C27H35Cl4N3Zn
分子量:608.78
IUPAC名称:4-((4-(dimethylamino)phenyl)(4-(dimethyliminio)cyclohexa-2,5-dienylidene)methyl)-N-ethyl-N,N-dimethylbenzenaminium dichloride compound with zinc(II) chloride
甲基绿是具有金属光泽的绿色微结晶或亮绿色粉末。溶于水,显蓝绿色。稍溶于乙醇,不溶于戊醇。
盐酸中显红黄色,在氢氧化钠中无色。试剂溶液在可见光区有吸收峰(λmax=633.8nm)。
与ReO4-、HgCl42-、BiI4-、AuCl4-和GaCl4-等形成离子缔合物。
用于光度法测定Hg2+、ReO4-等,定性检出铁氰化物,酸碱指示剂和细胞染色剂。
甲基绿为碱性染料,它易与聚合程度高的DNA结合呈现绿色。
又称双绿SF。绿色晶体,具金黄色光泽,或淡绿色粉末。溶于水,呈蓝绿色。微溶于乙醇,不溶于乙醚。
由氯甲烷与甲基紫(C.I.碱性紫1)反应制得。
商品通常为锌复盐C26H33N3Cl2.ZnCl2(称C.I.碱性蓝20)。
