甲基纤维素

来自医学百科

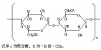
一. 分子组成与结构式:

Bk21x.jpg

二. 技术要求:

1. 质量标准:Q/SHD005-2002  

理化性质[编辑 | 编辑源代码]

1. 外观:MC为白色或类白色纤维状或颗粒状粉末,无臭。

性状:MC在无水乙醇乙醚丙酮中几乎不溶。在80~90>℃的热水中迅速分散、溶胀,降温后迅速溶解,水溶液在常温下相当稳定,高温时能凝胶,并且此凝胶能随温度的高低与溶液互相转变。具有优良的润湿性、分散性、粘接性、增稠性、乳化性、保水性和成膜性,以及对油脂的不透性。所成膜具有优良的韧性、柔曲性和透明度,因属非离子型,可与其他的乳化剂配伍,但易盐析,溶液在PH2-12范围内稳定。

3. 视密度:0.30-0.70g/cm3,密度约1.3g/cm3。、  

溶解方法[编辑 | 编辑源代码]

四. 溶解方法:

MC>产品直接加入到水里,会产生凝聚,接着溶解,但这样溶解很慢,并且困难。下面建议三种溶解方法,用户可根据使用情况,选择最方便的方法:

1. 热水法:由于MC不溶解在热水里,因而初期MC能够均匀的分散在热水中,随后冷却时,两种典型的方法描述如下:

1). 在容器内放入需要量的热水,并加热到大约70℃。在慢慢搅拌下逐渐加入MC,开始MC浮在水的表面,然后逐渐形成一种淤浆,在搅拌下冷却该淤浆。

2). 在容器内加入所需量1/3或2/3的水,并加热到70℃,按1)的方法,分散MC,制备热水淤浆;然后加入剩余量的冷水或冰水至热水淤浆中,搅拌之后冷却该混合物。

粉末混合法:将MC粉末粒子与相等的或更大量的其它粉状的配料,通过干混合来充分分散,之后加水溶解,则此时MC可以溶解,而不凝聚。

3. 有机溶剂湿润法:将MC用有机溶剂,如乙醇、乙二醇或油预先分散或湿润,然后加水溶解,则此时MC也可以顺利地溶解。  

用途[编辑 | 编辑源代码]

本产品广泛用于建筑施工、建材、分散性涂料、壁纸糊料,聚合助剂,除漆剂、皮革、油墨、造纸等分别用作增稠剂、粘接剂、保水剂、成膜剂赋形剂等。如在建材上用作粘合剂、增稠剂和保水剂,在涂料工业上用作成膜剂和增稠剂,另外在石油钻探和日用化工等领域应用也较为广泛。