生物化学与分子生物学/蛋白质的理化性质

来自医学百科

蛋白质是由氨基酸组成的大分子化合物,其理化性质一部分与氨基酸相似,如两性电离、等电点、呈色反应、成盐反应等,也有一部分又不同于氨基酸,如高分子量、胶体性、变性等。

一、蛋白质的胶体性质[编辑 | 编辑源代码]

蛋白质分子量颇大,介于一万到百万间,故其分子的大小已达到胶粒1~100nm范围之内。球状蛋白质的表面多亲水基团,具有强烈地吸引水分子作用,使蛋白质分子表面常为多层水分子所包围,称水化膜,从而阻止蛋白质颗粒的相互聚集。

与低分子物质比较,蛋白质分子扩散速度慢,不易透过半透膜,粘度大,在分离提纯蛋白质过程中,我们可利用蛋白质的这一性质,将混有小分子杂质的蛋白质溶液放于半透膜制成的囊内,置于流动水或适宜的缓冲液中,小分子杂质皆易从囊中透出,保留了比较纯化的囊内蛋白质,这种方法称为透析(dialysis)。

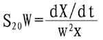
蛋白质大分子溶液在一定溶剂中超速离心时可发生沉降。沉降速度与向心加速度之比值即为蛋白质的沉降系数S。校正溶剂为水,温度20℃时的沉降系数S20.w可按下式计算:

Gra1srmu.jpg


式中X为沉降界面至转轴中心的距离,W为转子角速度,W2X为向心加速度,dX/dt为沉降速度。单位用S,即Svedberg单位,为1×1013秒,分子愈大,沉降系数愈高,故可根据沉降系数来分离和检定蛋白质。

二、蛋白质的两性电离和等电点[编辑 | 编辑源代码]

蛋白质是由氨基酸组成的,其分子中除两端的游离氨基和羧基外,侧链中尚有一些解离基,如谷氨酸天门冬氨酸残基中的γ和β-羧基,赖氨酸残基中的ε-氨基,精氨酸残基的胍基组氨酸咪唑基。作为带电颗粒它可以在电场中移动,移动方向取决于蛋白质分子所带的电荷。蛋白质颗粒在溶液中所带的电荷,既取决于其分子组成中碱性和酸性氨基酸的含量,又受所处溶液的pH影响。当蛋白质溶液处于某一pH时,蛋白质游离成正、负离子的趋势相等,即成为兼性离子(zwitterion,净电荷为O),此时溶液的pH值称为蛋白质的等电点(isoelectric point,简写pI)。处于等电点的蛋白质颗粒,在电场中并不移动。蛋白质溶液的pH大于等电点,该蛋白质颗粒带负电荷,反之则带正电荷。

Gra1sunl.jpg


各种蛋白质分子由于所含的碱性氨基酸和酸性氨基酸的数目不同,因而有各自的等电点。

凡碱性氨基酸含量较多的蛋白质,等电点就偏碱性,如组蛋白精蛋白等。反之,凡酸性氨基酸含量较多的蛋白质,等电点就偏酸性,人体体液中许多蛋白质的等电点在pH5.0左右,所以在体液中以负离子形式存在。

三、蛋白质的变性[编辑 | 编辑源代码]

天然蛋白质的严密结构在某些物理化学因素作用下,其特定的空间结构被破坏,从而导致理化性质改变和生物学活性的丧失,如酶失去催化活力,激素丧失活性称之为蛋白质的变性作用(denaturation)。变性蛋白质只有空间构象的破坏,一般认为蛋白质变性本质是次级键,二硫键的破坏,并不涉及一级结构的变化。

变性蛋白质和天然蛋白质最明显的区别是溶解度降低,同时蛋白质的粘度增加,结晶性破坏,生物学活性丧失,易被蛋白酶分解。

引起蛋白质变性的原因可分为物理和化学因素两类。物理因素可以是加热、加压、脱水、搅拌、振荡、紫外线照射、超声波的作用等;化学因素有强酸、强碱、尿素、重金属盐、十二烷基磺酸钠(SDS)等。在临床医学上,变性因素常被应用于消毒灭菌。反之,注意防止蛋白质变性就能有效地保存蛋白质制剂。

变性并非是不可逆的变化,当变性程度较轻时,如去除变性因素,有的蛋白质仍能恢复或部分恢复其原来的构象及功能,变性的可逆变化称为复性。例如,前述的核糖核酸酶中四对二硫键及其氢键。在β巯基乙醇和8M尿素作用下,发生变性,失去生物学活性,变性后如经过透析去除尿素,β巯基乙醇,并设法使疏基氧化成二硫键,酶蛋白又可恢复其原来的构象,生物学活性也几乎全部恢复,此称变性核糖核酸酶的复性。

许多蛋白质变性时被破坏严重,不能恢复,称为不可逆性变性。

四、蛋白质的沉淀[编辑 | 编辑源代码]

蛋白质分子凝聚从溶液中析出的现象称为蛋白质沉淀(precipitation),变性蛋白质一般易于沉淀,但也可不变性而使蛋白质沉淀,在一定条件下,变性的蛋白质也可不发生沉淀。

蛋白质所形成的亲水胶体颗粒具有两种稳定因素,即颗粒表面的水化层和电荷。若无外加条件,不致互相凝集。然而除掉这两个稳定因素(如调节溶液pH至等电点和加入脱水剂)蛋白质便容易凝集析出。

蛋白质胶体颗粒的沉淀


图1-20 蛋白质胶体颗粒的沉淀

从图1-0可以看出,如将蛋白质溶液pH调节到等电点,蛋白质分子呈等电状态,虽然分子间同性电荷相互排斥作用消失了。但是还有水化膜起保护作用,一般不致于发生凝聚作用,如果这时再加入某种脱水剂,除去蛋白质分子的水化膜,则蛋白质分子就会互相凝聚而析出沉淀;反之,若先使蛋白质脱水,然后再调节pH到等电点,也同样可使蛋白质沉淀析出。

引起蛋白质沉淀的主要方法有下述几种:

(一)盐析(Salting Out)

在蛋白质溶液中加入大量的中性盐以破坏蛋白质的胶体稳定性而使其析出,这种方法称为盐析。常用的中性盐有硫酸铵、硫酸钠氯化钠等。各种蛋白质盐析时所需的盐浓度及pH不同,故可用于对混和蛋白质组分的分离。例如用半饱和的硫酸铵来沉淀出血清中的球蛋白饱和硫酸铵可以使血清中的白蛋白、球蛋白都沉淀出来,盐析沉淀的蛋白质,经透析除盐,仍保证蛋白质的活性。调节蛋白质溶液的pH至等电点后,再用盐析法则蛋白质沉淀的效果更好。

(二)重金属盐沉淀蛋白质

蛋白质可以与重金属离子如汞、铅、铜、银等结合成盐沉淀,沉淀的条件以pH稍大于等电点为宜。因为此时蛋白质分子有较多的负离子易与重金属离子结合成盐。重金属沉淀的蛋白质常是变性的,但若在低温条件下,并控制重金属离子浓度,也可用于分离制备不变性的蛋白质。

临床上利用蛋白质能与重金属盐结合的这种性质,抢救误服重金属盐中毒的病人,给病人口服大量蛋白质,然后用催吐剂将结合的重金属盐呕吐出来解毒

(三)生物碱试剂以及某些酸类沉淀蛋白质

蛋白质又可与生物碱试剂(如苦味酸、钨酸、鞣酸)以及某些酸(如三氯醋酸、过氯酸、硝酸)结合成不溶性的盐沉淀,沉淀的条件应当是pH小于等电点,这样蛋白质带正电荷易于与酸根负离子结合成盐。

临床血液化学分析时常利用此原理除去血液中的蛋白质,此类沉淀反应也可用于检验尿中蛋白质。

(四)有机溶剂沉淀蛋白质

可与水混合的有机溶剂,如酒精甲醇丙酮等,对水的亲和力很大,能破坏蛋白质颗粒的水化膜,在等电点时使蛋白质沉淀。在常温下,有机溶剂沉淀蛋白质往往引起变性。例如酒精消毒灭菌就是如此,但若在低温条件下,则变性进行较缓慢,可用于分离制备各种血浆蛋白质。

(五)加热凝固

将接近于等电点附近的蛋白质溶液加热,可使蛋白质发生凝固(coagulation)而沉淀。加热首先是加热使蛋白质变性,有规则的肽链结构被打开呈松散状不规则的结构,分子的不对称性增加,疏水基团暴露,进而凝聚成凝胶状的蛋白块。如煮熟的鸡蛋,蛋黄和蛋清都凝固。

蛋白质的变性、沉淀,凝固相互之间有很密切的关系。但蛋白质变性后并不一定沉淀,变性蛋白质只在等电点附近才沉淀,沉淀的变性蛋白质也不一定凝固。例如,蛋白质被强酸、强碱变性后由于蛋白质颗粒带着大量电荷,故仍溶于强酸或强减之中。但若将强碱和强酸溶液的pH调节到等电点,则变性蛋白质凝集成絮状沉淀物,若将此絮状物加热,则分子间相互盘缠而变成较为坚固的凝块。

五、蛋白质的呈色反应[编辑 | 编辑源代码]

(一)茚三酮反应(Ninhydrin Reaction)

α-氨基酸与水化茚三酮(苯丙环三酮戊烃)作用时,产生蓝色反应,由于蛋白质是由许多α-氨基酸组成的,所以也呈此颜色反应。

(二)双缩脲反应(Biuret Reaction)

蛋白质在碱性溶液中与硫酸铜作用呈现紫红色,称双缩脲反应。凡分子中含有两个以上-CO-NH-键的化合物都呈此反应,蛋白质分子中氨基酸是以肽键相连,因此,所有蛋白质都能与双缩脲试剂发生反应。

(三)米伦反应(Millon Reaction)

蛋白质溶液中加入米伦试剂(亚硝酸汞、硝酸汞及硝酸的混和液),蛋白质首先沉淀,加热则变为红色沉淀,此为酪氨酸的酚核所特有的反应,因此含有酪氨酸的蛋白质均呈米伦反应。

此外,蛋白质溶液还可与酚试剂、乙醛酸试剂、浓硝酸等发生颜色反应。