氯氟氰菊酯

来自医学百科

中文名称:氯氟氰菊

英文名称:cyhalothrin

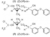
化学名称:(IR)-顺式-(Z)-2,2-二甲基-3-(2-氯-3,3,3-三氟-1-丙烯基)环丙烷羧酸-(S)-a-氰基-3-苯氧基苄酯/(IS)-顺式-(Z)-2,2-二甲基-3-(2-氯-3,3,3-三氟-1-丙稀基)环丙烷羧酸-(R)-a-氰基- 3-苯氧基苄酯(1:1的混合物)

结构或分子式:C23H19CIF3NO3

结构

分子量:449.86

半衰期:4-12周

化学分类:拟除虫菊酯

分析方法:液谱法  

化学品性质[编辑 | 编辑源代码]

理化性质[编辑 | 编辑源代码]

外观:白色固体

性状:黄色至棕色粘稠油状液体(工业品) 

含量:98%

密度:1.33

相对密度:1.25(25℃)

蒸汽压:2.67×10-10pa/20℃

熔点:49.2℃

沸点:(℃)187~190(2.67帕)

溶解性:难溶于水,21℃溶解5×10-3mg/L,可溶于多种普通有机溶剂中

溶解情况:

水溶解度<1毫克/升,溶于丙酮二氯甲烷甲苯等均>500克/升(20℃)

稳定性:在酸性溶液中稳定,在碱性溶液中易分解  

急性毒性(大鼠)[编辑 | 编辑源代码]

口 服:LD50 79mg/kg

经 皮:D50 632mg/kg

慢性毒性:对大鼠无作用剂量为1.7-1.9mg/kg

刺激性:对眼睛和皮肤有轻度刺激

毒性等级:WHO(a.i.)(II)  

化学品用途[编辑 | 编辑源代码]

拟除虫菊酯类杀虫剂,能有效地防治棉花、果树、蔬菜大豆等作物上的多种害虫,也能防治动物体上的寄生虫。  

(1)英文通用名[编辑 | 编辑源代码]

cyhalothrin  

(2)商品名称[编辑 | 编辑源代码]

功夫、功夫菊酯、高效氯氟氰菊酯、大康、高福、天菊等。  

(3)剂型[编辑 | 编辑源代码]

2.5%、10%可湿性粉剂,0.6%、2.5%乳油,2.5%水乳剂、1.5%悬浮剂,2.5%微胶囊剂。  

(4)性质与作用[编辑 | 编辑源代码]

氯氟氰菊酯又叫三氟氯氰菊酯,属拟除虫菊酯类仿生物农药。具有杀虫广谱、高效、速度快、持效期长的特点。

2.5%天达高效氯氟氰菊酯乳油是天达药业植保公司根据氯氟氰菊酯的杀虫机理,采用先进配方,运用独特生产工艺,生产的一种强力高效杀虫剂,对害虫和螨类具有强烈的触杀和胃毒作用,有渗透性而无内吸作用,可有效地防治鳞翅目、鞘翅目、半翅目和螨类害虫。其性质稳定,耐雨水冲刷。

天达高效氯氟氰菊酯杀虫广谱。可防治果树、蔬菜、棉花、烟草、玉米等作物的棉铃虫、棉红铃虫、棉蚜、玉米螟、柑橘潜叶蛾、介壳虫若虫、叶螨、卷叶蛾类幼虫、食心虫、蚜虫,小菜蛾、甘蓝夜蛾、斜纹夜蛾、烟青虫、菜螟、菜青虫,对蚊、蝇等卫生害虫也有效。

天达高效氯氟氰菊酯残效期长。施药1次,20天以后,防效仍可达90%以上。  

(5)使用方法[编辑 | 编辑源代码]

①防治小菜蛾、菜青虫、甜菜夜蛾、斜纹夜蛾、烟青虫、菜螟等抗性害虫,在1-2龄幼虫发生期,每亩

氯氟氰菊酯

用2.5%乳油20-40毫升,兑水50千克喷雾

②防治菜蚜、瓜蚜,每亩用2.5%乳油15-20毫升,加水50千克喷雾。防治茄子叶螨、辣椒跗线螨,每亩用2.5%乳油30-50毫升,加水50千克喷雾。

③防治枣、苹果、梨等果树的蠹蛾、小卷叶蛾,在低龄幼虫始发期或开花坐果期,用2.5%乳油2000-4000倍液喷雾。防治桃小食心虫、梨小食心虫、各种果树蚜虫,用2.5%乳油3000-4000倍稀释液喷雾。

④防治棉铃虫、棉红铃虫,每亩用2.5%乳油30-50毫升,加水50-100千克喷雾,可兼治棉花叶螨、棉象甲。防治棉蚜,苗期每亩用20毫升,伏蚜用20-30毫升,加水50千克喷雾。

⑤防治玉米螟,在卵孵化盛期施药,用2.5%乳油5000倍稀释液喷雾。  

(6)注意事项[编辑 | 编辑源代码]

①不可与碱性农药混用,也不可做土壤处理剂。

②氯氟氰菊酯对鱼虾、蜜蜂、家蚕高毒,因此在使用时应防止污染鱼塘、河流、蜂场、桑园。

③禁止在水田使用。

④对拟除虫菊酯类农药产生抗性的害虫,应适当提高药液使用浓度。

⑤收获前21天停用。

⑥应存放在阴凉通风干燥处。