医院药学/氨基酸、肽类、蛋白质纸层析呈色反应

来自医学百科

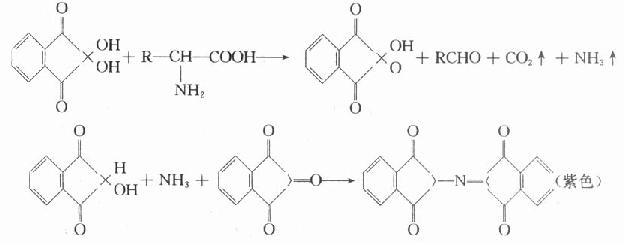
用0.2%茚三酮乙醇溶液鉴别,反应灵敏,层析滤纸等不宜用手指多接触,亦不宜与氨气接触,否则纸背呈红色。

茚三酮不仅与α氨基酸作用,也与某些β氨基酸和伯、仲脂肪胺等作用,生成相似的有色物质。对脂肪族叔胺或芳无作用。对多肽也能显色,但肽越大度越低。吲哚试剂也有相似作用,其灵敏度不及茚三酮高。但对不同氨基显不同色调。

茚三酮反应原理:对α氨基酸先起氧化,脱氨化应之分解成氨,二氧化碳和醛,茚三酮本身被还原,再与生成的氨缩合成紫色物质。

Gp1gk7sg.jpg

吲哚醌与α氨基酸反应:对辅氨酸、组氨酸呈蓝色;对色氨酸甲硫氨基酸呈绿色;对亮氨酸丝氨酸呈红色等。对一些小肽也能显色,但肽越大灵敏芳越低,色差也小,接近黄色。

Gp1gk2gg.jpg