医用化学/醌

来自医学百科

一、醌的构造和命名[编辑 | 编辑源代码]

醌是对含有环己二烯二酮构造的一类化合物的总称。如对苯醌Gmomuvdy.jpg 、邻苯醌Gmomv4o1.jpg 等。Gmomuuf9.jpgGmomuwcr.jpg


叫做醌型构造。

具有醌型构造的化合物通常具有颜色。对位的醌多呈现黄色,邻位的醌多呈现红色或橙色,所以它是许多染料和指示剂的母体。

醌类化合物是以苯醌、萘醌等作为母体来命名的。两个羰基的位置可用阿拉伯数字标明写在醌名字前。也可用邻、对、远或α、β等表明两上羰基的相对位置。母体上如有取代基,可将取代基的位置、数目、名称写在前面。例如:

Gmomuxct.jpg


Gmomuzlw.jpg


二、醌的化学性质[编辑 | 编辑源代码]

从醌的构造来看。其分子中既有羰基,又有碳碳双键和共轭双键,因此可以发生羰基加成、碳碳双键加成以及共轭双键的1,4-加成。

(一)羰基的加成

苯醌同醛、酮一样,可与羰基试剂发生加成反应。如以苯醌与羟胺反应,先生成对苯醌一肟,再生成对苯醌二肟。

Gmomv1m8.jpg


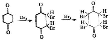
(二)碳碳双键的加成

对苯醌和溴发生加成反应,可生成二溴化物或四溴 化物。

Gmomuyd0.jpg


(三)共轭双键的1,4-加成

醌分子中含有共轭双键,可发生1,4-加成。如维生素K3亚硫酸氢钠的加成。

Gmomv0nm.jpg


三、重要的醌类化合物[编辑 | 编辑源代码]

(一)对苯醌

对苯醌是黄色晶体,熔点115.7℃,能随水蒸气蒸出,具有刺激性臭味,有毒,能腐蚀皮肤,能溶于醇和醚中。对苯醌很容易被还原成对苯二酚

如将对苯醌的乙醇溶液和无色的对苯二酚的乙醇溶液混合,溶液颜色变为棕色,并有深绿色的晶体析出。这是一分子对苯醌和一分子对苯二酚结合而成的分子配合物,叫做醌氢醌,它的构造式表示如下:

Gmomv3mk.jpg


在醌氢醌溶液中插入一铂片,即组成醌氢醌电极,这个电极的电位与溶液中的氢离子浓度有关,可用于测定溶液的氢离子浓度。

(二)α-萘醌和维生素K

α-萘醌又叫1,4-萘醌,是黄色晶体,熔点125℃,可升华,微溶于水,溶于酒精和醚中,具有刺鼻气味。

许多天然产物的色素含α-萘醌构造,例如维生素K1和K2。

Gmomv5m0.jpg


维生素K1和K2的差别只在于侧链有所不同,维生素K1 为黄色油状液体,维生素K2为黄色晶体。维生素K1和K2广泛存在于自然界中,绿色植物(如苜蓿菠菜等)、蛋黄、肝脏等含量丰富。维生素K1和K2的主要作用是能促进血液的凝固,所以可用作止血剂。

在研究维生素K1和K2及其衍生物化学构造与凝血作用的关系时,发现2-甲基-1,4-萘醌具有更强的凝血能力,称之不维生素K3,可由合成方法制得。

Gmomv2m1.jpg


维生素K3为黄色晶体,熔点105-107℃,难溶于水,可溶于植物油或其它有机溶剂。由于维生素K3是油溶性维生素,故医药上用的是它的可溶于水的亚硫酸氢钠加成物。