医用化学/酰胺

来自医学百科

一、酰胺的构造和命名[编辑 | 编辑源代码]

酰胺是羧酸衍生物。在构造上,酰胺可看作是羧酸分子中羧基中的羟基被氨基或烃氨基(-NHR或-NR2)取代而成的化合物;也可看作是氨或胺分子中氮原子上的氢被酰基Gmonyeyu.jpg )取代而成的化合物。

Gmonynuj.jpg


酰胺的命名是根据相应的酰基名称,并在后面加上“胺”或“某胺”,称为“某酰胺”或“某酰某胺”。例如:

Gmonylnw.jpg


当酰胺中氮上连有烃基时,可将烃基的名称写在酰基名称的前面,并在烃基名称前加上“N-”“N,N-”,表示该烃基是与氮原子相连的。

Gmonyfmj.jpg


二、酰胺的性质[编辑 | 编辑源代码]

(一)物理性质

在常温下,除甲酰胺是液体外,其它酰胺多为无色晶体。酰胺分子中含有羰基和氨基,它们分子间能形成氢键。由于酰胺分子间氢键缔合能力较强,因此其熔点、沸点甚至比相对分子质量相近的羧酸还高。

Gmonyl0r.jpg


当酰胺中氮原子上的氢被烷基取代后,缔合程度减小,熔点和沸点则降低。脂肪族N-烷基取代酰胺一般为液体。

低给酰胺易溶于水,随着相对分子质量的增大,溶解度逐渐减小。液体酰胺不但可以溶解有机物,而且也可以溶解许多无机物,是良好的溶剂。例如HCON(CH3)2。

(二)化学性质

1.酸碱性

酰胺一般是近中性的化合物,但在一定条件下可表现出弱酸或弱碱性。酰胺是氨或胺的酰基衍生物,分子中有氨基或烃氨基,但其碱性比氨或胺要弱得多。酰胺碱性很弱,是由于分子中氨基氮上的未共用电子对与羰基的π电子形成共轭体系,使氮上的电子云密度降低,因而接受质子的能力减弱。这时C-N键出现一定程度的双键性。

Gmonyn85.jpg


然而,氮上的电子云密度降低,却使N-H键的极性增加,从而表现出微弱的酸性。如果氨分子中有两个氢原子被一个二元酸的酰基取代,则生成环状的亚氨基化合物(酰亚胺)。由于两个羰基的吸电子作用,使亚氨基的N-H键极性明显增加,氮上的氢原子较易变为质子,而呈弱酸性。例如:

Gmonyvda.jpg


2.水解

酰胺在通常情况下较难水解。在酸或碱的存在下加热时,则可加速反应,但比羧酸酯的水解慢得多。

Gmonyrrg.jpg


N-取代酰胺同样可以进行水解,生成羧酸和胺。

3.与亚硝酸反应

酰胺与亚硝酸作用生成相应的羧酸,并放出氮气。

Gmonycw1.jpg


三、重要的酰胺及其衍生物[编辑 | 编辑源代码]

(一)尿素

尿素又称脲,是碳酸的二酰胺

Gmonyr1v.jpg


尿素是哺乳动物体内蛋白质代谢的最终产物,存在于动物的尿中。许多含氮化合物在代谢过程中所释放的氨是有毒的,通过转变为尿素从尿中排出而使氨的浓度降低。正常成人每天排泄的尿中约含尿素30g。

尿素为无色晶体,熔点133℃,易溶于水和乙醇,难溶于乙醚

尿素是很重要的物质,用途广泛。它在农业上用作高效固体氮肥,也是有机合成的重要原料。用于合成药物、塑料等。尿素本身也是药物,对降低脑颅内压和眼内压有显著疗效。

尿素具有酰胺的结构,有酰胺的一般化学性质。但因两个氨基连在一个羰基上,所以它又表现出某些特殊的性质。

1.弱碱性

尿素分子中有两个氨基,其中一个氨基可与强酸成盐,故呈弱碱性。

Gmonyc9b.jpg


尿素的硝酸盐、草酸盐均难溶于水而易结晶。利用这种性质,可从尿液中提取尿素。

2.水解反应

尿素是酰胺类化合物,在酸、碱或尿素酶的作用下很易水解。

Gmonye98.jpg


3.缩二脲的生成及缩二脲反应

尿素是一种特殊的酰胺,它的两个氨基连在同一个羰基上,所以它又有与一般酰胺不同的性质。若将尿素加热到稍高于它的熔点时,则发生双分子缩合,两分子尿素脱去一分子氨而生成缩二脲。

Gmonyuo2.gif


缩二脲是无色针状晶体,熔点190℃,难溶于水,能溶于碱液中。它在碱性溶液中与少量的硫酸铜(CuSO4)溶液作用,即显紫红色,这个颜色反应叫做缩二脲反应。凡分子中含有两个或两上以上酰胺键( Gmonyjrs.jpg


,肽键)合

物如多肽、蛋白质等都能发生这种颜色反应。

(二)丙二酰脲

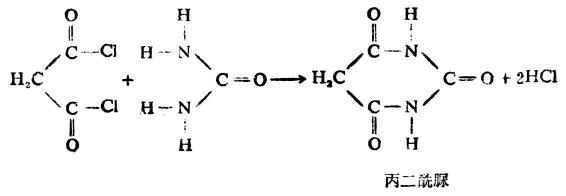
尿素与酰氯、酸酐或酯作用,则生成相应的酰脲。例如,尿素与丙二酰氯反应生成丙二酰脲。

Gmonydjf.jpg


Gmonyj1l.jpg


丙二酰脲是无色晶体,熔点245℃,微溶于水。它的分子中含有Gmonykde.jpg


及 的结构,可发生酮式-烯醇互变异构

Gmonyqao.jpg


由于丙二酰脲中由酮式转变为烯醇式而呈酸性,所以丙二酰脲又称巴比土酸。

巴比土酸本身没有药理作用,但它的C-5亚甲基上的两个氢原子都被烃基取代(5,5-二取代)后所得许多取代物,却是一类重要的镇静催眠药,总称为巴比妥类药物。其通式为:

Gmonypkk.jpg


巴比妥类药物很多,主要的有巴比妥、苯巴比妥鲁米那)、戊巴比妥异戊巴比妥等。它们是晶体或结晶性粉末,难溶于水,能溶于一般有机溶剂中。

Gmonya90.jpg


巴比妥类催眠药的钠盐,可作注射用。

(三)磺胺类及氯胺类药物

烃分子中的氢原子被磺基(-SO3H)取代而成的化合物叫磺酸。芳香磺酸最为重要,例如苯磺酸

Gmonyoyn.jpg


磺酸的化学性质与羧酸类似,但酸性比羧酸强得多。

Gmony9lf.jpg


苯磺酰氯与氨或胺作用,可生成磺酰胺

Gmonybm2.jpg


在医药上,重要的磺酰胺类化合物有磺胺类药物及氯胺类药物。

1.磺胺类药物

磺胺类药物是优良的化学治疗剂,开始应用于20世纪30年代。它们能抑制多种细菌,如链球菌葡萄球菌肺炎球菌、脑膜炎球菌、痢疾杆菌等的生长和繁殖,因此常用以治疗由上述细菌所引起的疾病

最简单的磺胺类药物是对氨基苯磺酰胺,简称磺胺(SN)。

Gmonyhp7.jpg


磺胺是无色晶体,熔点163℃,味微苦,微溶于水。磺胺能溶于强酸或强碱溶液中,这是由于它在苯环上连有氨基,因此能与酸作用生成盐;同时。与磺胺基结合的氨基上的氢原子,因受磺酰基的影响而呈酸性,故又能与碱作用。

Gmonyaxo.jpg


磺胺口服时副作用很大,仅外用以治疗化脓性创伤。为了减少磺胺的副作用,一般采用其它原子团取代磺酰氨基上的氢原子Gmonyh26.jpg ,其副作用较小,称为磺胺类药物。

磺胺类药物的抗菌谱广,性质稳定,口服吸收良好,使用方便。表18-2是一些常见的磺胺类药物。

甲氧芐氨嘧啶(TMP),在化学结构上不属于磺胺类,但它能加强磺胺药的作用,也能增强多种抗生素的疗效,称为磺胺增效剂,常与磺胺类药物或抗生素伍用。

常见的磺胺类药物


甲氧苄氨嘧啶(TMP)

表18-2 常见的磺胺类药物

Gmonygbz.jpg


2.氯胺类药物

苯磺酰胺分子中,氨基的氢原子被氯原子取代的化合物叫做氯胺类药物。例如:

Gmonymio.jpg


氯胺类药物是白色或黄色结晶性粉末,微具氯气味。能溶于水及乙醇,难溶于乙醚等有机溶剂。

氯胺类药物都是氧化剂,它们与水反应生成次氯酸或次氯酸钠,而有杀菌和对化学毒剂的消毒作用,故在军事医学上有重要意义。

Gmonytuz.jpg