医用化学/配合滴定法

来自医学百科

在化学分析中,常利用金属离子与某些配合剂生成配合物的反应来测定某成分的含量。利用配合反应滴定分析方法配合滴定法。能用于配合滴定的配合剂有很多种,其中最常用的是氨羧配合剂,而氨羧配合剂中以EDTA应用最广。

一、EDTA配合沆定的基本原理[编辑 | 编辑源代码]

(一)EDTA配合滴定的基本原理

EDTA(用H4Y表示)是一个多元酸,在溶液中以H4Y,H3Y-,HY3-,Y4-等形式存在。其中Y4-能与多种金属离子直接配合生成稳定的配合物,配合比为1:1。

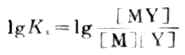
金属离子与EDTA形成的配合物的稳定性常用稳定常数的对数表示。EDTA与金属离子形成配合物的反应如下(为简单起见略去电荷):

Gmogndpg.jpg


Gmognhve.jpg (7-6)

Gmognjt6.jpg (7-7)

Ks或lgKs越大,配合物越稳定。表7-2列举了一些常见金属离子与EDTA形成配合物的lgKs值,

表7-2 EDTA金属离子配合离子lgKs值

金属离子 配合离子 lgKs 金属离子 配合离子 lgKs 金属离子 配合离子 lgKs
Na+ NaY3- 1.66 Fe2+ FeY2- 14.33 Cu2+ CuY2- 18.7
Li+ LiY3- 2.79 Al3+ AlY- 16.11 Hg2+ HgY2- 21.8
Ag+ AgY3- 7.32 Co2+ CoY2- 16.31 Sn2+ SnY2- 22.1
Ba2+ BaY2- 7.78 Cd2+ CdY2- 16.40 Bi3+ BiY- 22.8
Mg2+ MgY2- 8.64 Zn2+ ZnY2- 16.40 Cr3+ CrY- 23.0
Ca2+ CaY2- 11.0 Pb2+ PbY2- 18.30 Fe3+ FeY- 24.23
Mn2+ MnY2- 13.8 Ni2+ NiY2- 18.56 Co3+ CoY- 36.0

式(7-6)中的[Y]是指平衡时的[Y4-],不包括EDTA其他存在形式,故称Ks为配合物的绝对常数,它与溶液的酸度无关。表7-2中所列数据均为绝对稳定常数。由于EDTA是弱酸性的配合剂,因此溶液的酸度对EDTA配合物的稳定性有很大的影响。

1.酸度的影响

酸度的影响可用下式表示:

Gmognp7o.jpg


可见溶液的酸度越高,[Y4-]越低,越不利于配合滴定的进行;溶液的酸度越低[Y4-]越高,配合滴定进行得越完全。EDTA溶液中除了Y4-外,还存在其他形式。设EDTA总浓度为[Y]总,则

[Y]=[H4Y]+[HY-]+[HY2-]+[HY3-]+[Y4-](7-8)

[Y]总与[Y4-]之间存在着一定的比例关系。

[Y]H.[Y-4]

αH=[Y]/[Y4-

比例系数aH叫做酸效应系数,它是随酸度的增大而增大,aH可以从EDTA的各级电离常数和溶液中[H+]计算出来。

将式(7-9)代入式(7-6)可得

Gmognity.jpg (7-10)

式中Ks 是考虑了酸效应的稳定常数,叫做条件稳定常数或表观稳定常数,在不同酸度下,KS是不变的,但由于aH随酸度增大而增大,故Ks则随酸度的增大而减小。在配合滴定中,要求反应量的完成,Ks越大,反应进行得越完全。

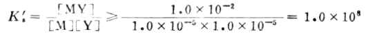
如被测金属离子的初始浓度为0.02mol.L-1,当反应完全时,金属离子基本都配合成MY,即得[MY]=1.0×10-2mol.L-1,设测定的允许误差为0.1%,则滴定达到平衡时,

[M=[Y]≤1.0*10-2*0.1%=1.0*10-5(mol.L-1)

将这一关系代入式(7-10)则得

Gmogno72.jpg


或lgKs≥8 (7-11)

可见MY配合物的 Ks必须等于或大于1.0×108,才能满足滴定误差小于0.1%的要求

由式(7-10)可得

lgαH≤lgKs-8 (7-12)

利用上式,再根据7-3可以求得滴定各种多金属离子所允许的最低PH值。

7-3 不同PH时EDTA的lgaH

pH lgaH pH lgaH pH lgaH
0 21.18 4 8.44 8 2.26
1 17.20 5 6.45 9 1.28
2 13.52 6 4.65 10 0.45
3 10.60 7 3.32 11 0.07

在滴定过程中也应控制一定的酸度,因为EDTA在滴定中不断有H+释放出来,使溶液的PH值降低。例如用EDTA二钠溶液滴定Ca2+时,其反应式如下:

Gmognq9i.jpg


因此配合滴定常需用缓冲控制酸度。

2.其他配合剂的影响

溶液中存在其他配合剂时的影响用下式表示:

Gmogncrz.jpg


Z代表其他配合剂,n为Z的系数。由于其他配合剂的存在,降低了金属离子的浓度,使平衡向左移动。配合滴定中常常利用这个原理消除干扰离子。例如,用EDTA滴定Mg2+和Cd2+、Zn2+混合液中的Mg2+时,可在滴定前向混合液中加入KCN,使Cd2+和Zn2+与CN-形成稳定的[Zn(CN)4]2-和[Cd(CN)4]2-(Mg2+不与CN-配合),从而消除了Cd2+和Zn2+对滴定的干扰。这种消除干扰的作用叫掩蔽作用,起掩蔽作用的配合剂叫掩蔽剂。

(二)金属指示剂

配合滴定中指示终点的方法很多,其中最重要、应用最多的是金属指示剂。它常常是一种配合剂,能与金属离子形成可溶于水的有色配合物。

Gmognbpq.jpg


在滴定前,溶液中金属指示剂与金属离子形成有色配合物,溶液的颜色就是这种酏合物的颜色。滴不定期开始后,EDTA与溶液中自由金属离子配合。滴定接近并达到终点时,与指示剂配合的金属离子浓度剧烈降低,MIn转变为In,溶液的颜色由MIn的颜色转变为指示剂In的颜色。

值得注意的是金属指示剂与金属离子形成的配合物要有适当的稳定性。稳定性太低,配合物易离解,会使终点提前出现。稳定性太高,稍过终点时,EDTA仍不能夺取MIn中的金属离子,就无法指示终点,使终点出现过迟。

常见的金属指示剂有铬黑T(EBT)、钙试剂等。现以铬黑T为例进行介绍。铬黑T(用NaH2In表示)是一个具有弱酸性酚羟基的有色配合剂,在不同的酸度下为不同的颜色。

Gmognfn3.jpg


在PH<6或PH>12时,游离的指示剂与形成金属离子配合物的颜色没有明显的区别,在PH=7~11的溶液里指示剂显蓝色,而与金属离子生成的配合物为红色,颜色有极明显的差别。所以用铬黑T作指示剂时,PH值应控制在7~11的范围内,最适宜的PH值为9~10.5。例如,用EDTA滴定Mg2+时,先在被测溶液中加入NH+4-NH3.H2O缓冲溶液,将PH值控制在10左右,然后加铬黑T作指示剂数滴,用0.02mol.L-1EDTA标准溶液滴定。

Gmognakv.jpg


滴定终点时,由MgIn-的红色转变为HIn2-的蓝色。

Gmogneou.jpg


在滴定过程中,颜色的变化为:红色→紫色→蓝色。当溶液的颜色由红色转变成紫色时,说明滴定已接近终点,再稍许滴定几滴即达到终点。

二、EDTA配合滴定应用示例——水的总硬度测定[编辑 | 编辑源代码]

水的总硬度是指水中Ca2+、Mg2+的总含量。水中钙镁酸式碳酸盐形成的硬度称为暂时硬度,钙镁的其他盐类如硫酸盐、氯化物等形成的硬度称为永久硬度。暂时硬度和永久硬度的总和称为总硬度,其单位用每升水中含CaO或CaCO3的毫克数来表示,可写成CaOmg.L-1或CaCO3 mg.L-1。

操作步骤如下;

(一)配制0.01 mol.L-1的EDTA标准溶液

称取约0.19gEDTA二钠,用蒸馏水配成500ml溶液,然后用MgCO3作基准物质标定其浓度。

(二)EDTA溶液的浓度的标定

称取在110℃烘干过的基准物质MgCO30.21g(准至0.1mg),置于烧杯中,用稀盐酸溶解后配成250ml溶液,吸取25.00ml于锥形瓶中,加浓氨水至溶液呈碱性,再加5mlPH约为10的NH+-NH3.H2o 缓冲溶液,加铬黑T指示剂,用EDTA标准溶液滴定至溶液呈蓝色.

Gmogngtq.jpg


(三)水的总硬度测定

取水样50ml,加入5mlPH=10的NH+-NH3.H2O 缓冲溶液,再加铬黑T指示剂数滴,用0.01ml mol.L-1的EDTA标准溶液滴定至溶液呈蓝色。按下式计算出每升水中CaCO3的含量作为总硬度(单位mg.L-1)。

Gmognn5d.jpg