甲钴胺

来自医学百科

【 药品名称 】 甲钴胺片

【 英文名称 】 Mecobalamin Tablets

【 药品别名 】 弥可保

商品名:欧维

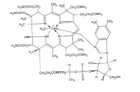
本品主要成份为甲钴胺,其化学名称为:Coα-[α-(5,6)-二甲基苯并咪唑基]-Coβ-甲钴酰胺

分子式:C63H91CoN13O14P

甲钴胺的分子结构式

分子量:1344.40

【 性状 】本品为白色糖衣片,除去糖衣后显淡红色。  

药理毒理[编辑 | 编辑源代码]

药理作用[编辑 | 编辑源代码]

甲钴胺是一种内源性的辅酶B12,参与一碳单位循环,在由同型半胱氨酸合成蛋氨酸转甲基反应过程中起重要作用。

动物实验表明,本品比氰钴胺易于进入神经元细胞器,参与脑细胞脊髓神经元胸腺嘧啶核苷的合成,促进叶酸的利用和核酸代谢,且促进核酸和蛋白质合成作用较氰钴胺强;能促进轴突运输功能和轴突再生,使链脲霉素诱导的糖尿病大鼠坐骨神经轴突骨架蛋白的运输正常化;对药物引起的神经退变,如阿霉素丙烯酰胺长春新碱引起的小鼠轴突退变及自发高血压大鼠神经疾病,具有抑制作用;能使延迟的神经突触传递和神经递质减少恢复正常,通过提高神经纤维兴奋性,恢复终极板电位诱导,使饲以胆碱缺乏饲料大鼠的脑内乙酰胆碱恢复到正常水平。体外研究表明,甲钴胺可促进培养的大鼠组织中卵磷脂的合成和神经元髓鞘形成。  

毒理研究[编辑 | 编辑源代码]

生殖毒性:在大鼠和小鼠致畸敏感期经口给予甲钴胺0.2,2.0,20mg/kg/d,胎仔和新生仔中未见异常和致畸征象。  

药代动力学[编辑 | 编辑源代码]

据文献报道:

1. 一次性给药

健康人一次口服120μg或1500μg注),无论哪个剂量,均在给药后3小时达到最高血药浓度,其吸收呈剂量依赖性。半衰期、血清中总B12浓度的增加部分及△AUC012如下图、下表所示。

服用后8小时,尿中总B12的排泄量为用药后24小时排泄量的40~80%。

注)标记的一次口服1500μg给药量是日本厚生省批准以外的用量。

给药量 tmax(hour) cmax(pg/ml) △cmax(pg/ml) △cmax%(%) △AUC012※1(hour.pg/ml) t1/2※2(hour)

120μg 2.8±0.2 743±47 37±15 5.1±2.1 168±58 计算不出

1500μg 3.6±0.5 972±55 255±51 36.0±7.9 2033±510 12.5

Mean±S.D,n=8

※ 1:给药前值到给药后12小时的实测值增加部分,按梯形规则公式计算。

※ 2:由给药后24~48小时的平均值算出。

2. 连续给药

观察健康人连续12周每天口服1500μg,至停药后4周的血清中总B12的变化值。给药4周后其值为给药前的约2倍,以后逐渐增加,到12周后达约2.8倍,即使中止给药4周后仍显示为给药前的约1.8倍。  

适应症[编辑 | 编辑源代码]

周围神经病变。

⑴[神经内外科] 多发性神经炎三叉神经痛;脑意外事件的后遗症、脑外伤、血管硬化引起的神经障碍;失眠多梦、烦躁、易怒;酒精神经炎;自律神经障碍

⑵[内科] 内分泌科糖尿病性神经病变

肝病类科:肝功能异常的神经炎

血液科:巨幼红细胞贫血

⑶[五官科]面部神经麻痹耳鸣重听眩晕耳聋;耳平衡障碍味觉嗅觉功能异常。

⑷[眼科糖尿病性视网膜病变视神经炎复视青光眼引起的视神经萎缩

⑸[骨科坐骨神经痛椎间盘突出、骨刺、肩颈酸痛、腰痛骨折、运动伤害 

⑹[妇产科妊娠性贫血、下肢麻木;更年期神经功能异常

⑺[皮肤科带状疱疹湿疹、各种皮肤炎引起的神经炎、神经痛

⑻[肿瘤科]放化疗引起的造血功能损害及神经伤害  

其他[编辑 | 编辑源代码]

【 用法用量 】

口服。通常成人一次片(0.5mg),一日3次,可根据年龄、症状酌情增减。

不良反应

在总病例15180例中,146例(0.96%)出现不良反应。(调查不良反应发生频率结束时)

胃肠道:偶有(0.1%~5%)食欲不振恶心呕吐腹泻

过敏:少见(<0.1%)皮疹

【 禁忌 】

禁用于对甲钴胺有过敏史的患者。

【 注意事项 】

1. 如果服用一个月以上无效,则无需继续服用。

2. 从事汞及其化合物的工作人员,不宜长期大量服用本品。

【 孕妇及哺乳期妇女用药 】

虽然甲钴胺在动物试验中未见致畸作用,但其对怀孕妇女的安全性尚不明确。

尚不明确甲钴胺是否通过妇女乳汁分泌,但动物试验报告甲钴胺有乳汁分泌,本品在哺乳期妇女的安全性尚不明确。

【 儿童用药 】

尚不明确。

【 老年患者用药 】

由于老年人机能减退,建议在医生指导下酌情减少用量。

药物相互作用

尚不明确。

药物过量

尚无药物过量的资料。如果发生药物过量,应进行对症、支持治疗。

【 规格 】0.5mg/片。

【厂家 】 济南中科一通化工有限公司