医院药学/水杨酸盐

来自医学百科

(1)取供试品稀溶液,加三氯化铁试液1滴,即显紫色。

Gp1g81as.jpg


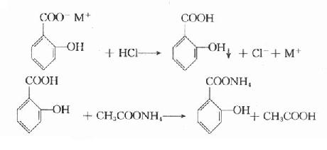
(2)取供试品溶液,加稀盐酸,即析出白色杨酸沉淀,分离,沉淀在醋酸铵试液中溶解。

Gp1g87ji.jpg

参看[编辑 | 编辑源代码]