医用化学/一元弱酸弱碱的离解平衡

来自医学百科

(一)离解度和离解常数

一元弱酸弱碱(如HOAc,NH3等)是弱电解质,在溶液中只能部分离解。离解程度用离解度表示。

离解度是指溶液中已经离解的电解质的分子数占电解质总分子数(已离解的和未离解的)的百分数。通常用α表示。

Gmob4tf4.jpg


一元弱酸HA存在以下的离解平衡:

Gmob4xn3.jpg


平衡浓度为

c(1-α) cα cα其中c为HA的总浓度,α为离解度。

离解常数KI可表示为

Gmob4sdy.jpg (2-1)

KI在一定温度下为一常数,不能随浓度变化而变化。弱酸的离解常数习惯上用Ka表示,弱碱的离解常数用Kb表示。

如果弱电解质离解度α很少,则

1-α≈1

这时式(2-1)为

Gmob4wi5.jpg


Gmob4yoi.jpg (2-2)

从式(2-2)可以看出,在一定温度下,同一弱电解质的离解度大约与溶液浓度的平方根成反比,即离解度随溶液的稀释而升高。这条说明溶液浓度与离解度关系的定律,叫做稀释定律。式(2-2)叫做稀释定律公式。利用此公式可以进行有关离解试或离解常数的计算。

例1在25℃时,已知(1)0.1mol.L-1HOAc的离解度为1.32%;(2)0.2mol.L-1HOAc的离解度为0.93%,求HOAc的离解常数。

解:(1)Gmob51dr.jpg


(2)Gmob53mo.jpg


从例1可以看出,对不同浓度HOAc溶液,在一定温度下,所计算出来的离解常数基本是一致的。表2-1是HOAc溶液在25℃时,不同浓度的离解度以及由离解度计算出来的离解常数值。

表2-1 25℃,不同浓度醋酸的离解度和离解常数

浓度/mol.L-1 离解度/% 离解常数
0.001 12.4 1.76×10-5
0.01 4.1 1.76×10-5
0.02 2.96 1.80×10-5
0.1 1.32 1.76×10-5
0.2 0.93 1.76×10-5

利用离解常数可以计算一定浓度某弱酸溶液中的H+浓度,或计算弱碱溶液中的OH-=浓度。

Gmob55oh.jpg


式中HA为弱酸,BOH为弱碱。

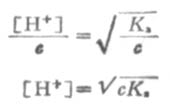
在浓度为c的弱酸中,[H+]=cα,即α=[H+]/c,又根据稀释定律,Gmob52l5.jpg , 则

Gmob54no.jpg (2-3)

同理,在浓度为c的弱碱溶液中,

Gmob4rbj.jpg (2-4)

根据式(2-3)和式(2-4),可以计算一定浓度的弱酸或弱碱的[H+]或[OH-]。

离解常数的大小用以衡量酸或碱的强弱程度。酸或碱越弱,它们的离解常数值就越小。一般认为KI在10-5至10-9范围内的电解质是弱电解质;KI值小于10-10时是极弱电解质。

(二)影响离解平衡的因素

弱酸和弱碱的离解平衡都是暂时的、相对的动态平衡。当外界条件改变时,离解平衡像其它平衡一样,会发生移动,结果弱酸和弱碱的离解程度都有所增减。因此,可以应用平衡移动原理,通过改变外界条件,控制弱酸和弱碱的离解程度。外界条件主要指温度,同离子效应和盐效应的影响。

1.温度的影响

温度变化能使离解平衡发生移动,这种移动是通过离解常数的改变实现的,但在常温范围内变化不大。

2.同离子效应

离子浓度的改变,对弱酸和弱碱离解程度的影响极为显著。

例如,在醋酸溶液中加入一些醋酸钠,由于醋酸钠是强电解质,在水溶液中完全离解Na+OAc-,这样溶液中[OAc-]增大,使Gmob4vi9.jpg


离解平衡向左移动,从而降低了醋酸的离解度和溶液中的H+浓度。

Gmob4pzq.jpg


又如,在氨水中加入一些氯化铵,由于氯化铵是强电解质,在水溶液中完全离解成NH4+和CL-,这样溶液中[NH4+]增大,使离解平衡向左移动,从而降低了氨水的离解度和溶液中的OH-浓度。

Gmob4ugv.jpg


由此可以得出结论,在弱电解质溶液中,加入与弱电解质具有相同离子的强电解质,使弱电解质的离解度降低的效应,称为同离子效应。

3.盐效应

在弱电解质溶液中,加入与弱电解质没有相同离子的强电解质,而使弱电解质的离解度略微增大的效应,称为盐效应。

盐效应的产生,是由于强电解质的加入,使溶液中离子间的相互牵制作用增强,离子结合成分子的机会减少,降低了分子化的程度,因而达到平衡时,弱电解质的离解度比未加入强电解质时略微大些。

例如,在0.1mol.L-1HOAc溶液中加入NaCL晶体,使NaCL的浓度为0.1mol.L-1时,[H+]不是1.32×10-3mol.L-1,而是1.70×10-3mol.L-1,离解度不是1.32%而是1.70%.

应该指出,在发生同离子效应的同时,必然伴随着盐效应的发生.这两个效应对弱电解质离解度影响不同.盐效应可以使弱电解质的离解度增大一些,而同离子效应可以使弱电解质的离解度大大降低.这说明同离子效应和盐效应对溶液酸碱性的影响是不能相提并论的.因此,对稀溶液来说,如不考虑盐效应,是不会引起很大误差的.