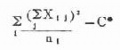
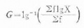
未使用文件
来自医学百科
下面为未被任何页面使用的文件。请注意,其他网站可能会通过URL直接链接某个文件,因此列表中的文件有可能仍在使用。
下面显示区间#801至#850的50条结果。
查看(前50个 | 后50个)(20 | 50 | 100 | 250 | 500)
- Bk0jh.jpg 539 × 341;41 KB
- Bk4cr.jpg 550 × 430;61 KB
- Gznz4pg9.gif 180 × 139;12 KB
- Bkmov.jpg 800 × 600;121 KB
- Bk2ub.jpg 400 × 223;39 KB
- Bkf2r.jpg 597 × 405;91 KB
- Bkp11.jpg 500 × 332;190 KB
- Bk1e5.jpg 280 × 155;48 KB
- Bk3ic.jpg 600 × 600;320 KB
- Bkjfx.jpg 338 × 293;27 KB
- Gxqejw5w.jpg 554 × 400;15 KB
- Gq0q8sxv.jpg 429 × 227;10 KB
- Bk6qa.jpg 178 × 174;5 KB
- Bk4ep.jpg 450 × 300;13 KB
- Bk4vm.jpg 587 × 424;95 KB
- Gyr83txs.jpg 332 × 277;19 KB
- Bk576.jpg 320 × 240;17 KB
- Gxqa645s.jpg 406 × 302;18 KB
- Bk876.jpg 601 × 426;36 KB
- Gunt564w.jpg 354 × 331;49 KB
- Bk905.jpg 140 × 112;3 KB
- Bkd5r.jpg 537 × 885;49 KB
- Gumalq3w.jpg 289 × 500;19 KB
- Bknse.jpg 600 × 1,035;166 KB
- Bk3x7.jpg 365 × 220;36 KB
- Bkp7t.jpg 250 × 300;21 KB
- Gunssqx6.jpg 357 × 269;28 KB
- Bkhw9.jpg 357 × 480;49 KB
- Gum5m0k9.jpg 164 × 54;2 KB
- Bkjhx.jpg 550 × 367;41 KB
- Bk6dc.jpg 1,360 × 1,020;274 KB
- Bk6j1.jpg 800 × 800;249 KB
- Bkkrq.jpg 303 × 71;10 KB
- Bk6c2.jpg 250 × 250;12 KB
- Gv7rex2r.jpg 510 × 175;9 KB
- Gxpz7rlb.jpg 80 × 111;3 KB
- Gxq0pluc.jpg 377 × 286;20 KB
- Bkb2k.jpg 320 × 240;12 KB
- Bk1gi.jpg 300 × 281;18 KB
- Gum5qzvg.jpg 135 × 56;2 KB
- Bk59o.jpg 782 × 550;47 KB
- Gumfyhjj.jpg 596 × 301;27 KB
- Bk6li.jpg 300 × 230;50 KB
- Bk5b7.jpg 97 × 140;4 KB
- Bkijc.jpg 230 × 230;6 KB
- Bkaaq.jpg 797 × 630;55 KB
- Bknd6.jpg 400 × 313;26 KB
- Bk54k.jpg 542 × 417;51 KB
- Gxq3doue.jpg 554 × 296;26 KB
- Gq0p12ch.jpg 445 × 206;10 KB
