鞣质

来自医学百科
(重定向自丹宁酸

鞣质(tannins),又称单宁,是存在于植物体内的一类结构比较复杂的多元酚类化合物。鞣质能与蛋白质结合形成不溶于水的沉淀,故可用来鞣皮,即与兽皮中的蛋白质相结合,使皮成为致密、柔韧、难于透水且不易腐败的革,因此称为鞣质。鞣质存在于多种树木(如橡树和漆树)的树皮和果实中,也是这些树木受昆虫侵袭而生成的虫瘿中的主要成分,含量达50%~70%。鞣质为黄色或棕黄色无定形松散粉末;在空气中颜色逐渐变深;有强吸湿性;不溶于乙醚、苯、氯仿,易溶于水、乙醇丙酮;水溶液味涩;在210~215℃分解。

分布[编辑 | 编辑源代码]

鞣质广泛存在于植物界,约70%以上的生药中含有鞣质类化合物,尤以在裸子植物及双子叶植物的杨柳科、山毛科、科、蔷薇科、豆科、桃金娘科和茜草科中为多。鞣质存在于植物的皮、木、叶、根、果实等部位,树皮中尤为常见,某些虫瘿(galls)中含量特别多,如五倍子所含鞣质的量可高达70%以上。在正常生活的细胞中,鞣质仅存在于液泡中,不与原生质接触,大多呈游离状态存在,部分与其它物质(如生物碱类)结合而存在。  

应用[编辑 | 编辑源代码]

鞣质具收敛性,内服可用于治疗胃肠道出血溃疡和水泻等症;外用于创伤、灼伤,可使创伤后渗出物中蛋白质凝固,形成膜,可减少分泌和防止感染,鞣质能使创面微血管收缩,有局部止血作用。鞣质能凝固微生物体内的原生质,故有抑菌作用,有些鞣质具抗病毒作用,如贯众能抑制多种流感病毒。鞣质可用作生物碱及某些重金属中毒时的解毒剂。鞣质具较强的还原性,可清除生物体内的超氧自由基延缓衰老。此外,鞣质还有抗变态反应、抗炎、驱虫、降血压等作用。

人类对鞣质的应用可追溯到5000年以前。具《素问•至真要大论》记载:散者收之,是立法的依据。老年、久病、元气不固引起的自汗盗汗、泻痢不止、滑精遗尿,应用固涩收敛滑脱、遏制气血津液的耗散,该种治疗方法叫固涩法。现代研究表明固涩类药物都含有丰富的鞣质成分。鞣质是植物的次生代谢产物,属于天然有机化合物,广泛存在于植物、水果和蔬菜中,大约70%天然植物中均含有鞣质。多年来,鞣质成分在医药领域被认为仅有收敛及蛋白质凝固作用,临床上用于各种止血,止泻抗菌抗病毒。近十年来,由于新技术,新方法的应用,人们对植物中鞣质的研究取得重大进展,除发现其有抗菌、抗炎、止血药理活性外,还发现具有抗突变、抗脂质过氧化、清除自由基、抗肿瘤与抗艾滋病等多种药理活性。尤其在抗肿瘤治疗中显示出了诱人的前景。  

研究史[编辑 | 编辑源代码]

1786年瑞典的Scheele首次从棓子中分离出棓酸

1796年Seguin首次提出“鞣质”一词。

1821年Runge从儿茶中分离出儿茶素

1920年,在发现儿茶素后100年,Freudenberg确定了儿茶素的结构式是黄烷-3-醇。标志着缩和鞣质化学的开端。

1910-1930年,五棓子鞣质结构的研究被认为是水解鞣质化学研究的重大成就。

1920年Freudenberg将鞣质分为水解鞣质和缩和鞣质二大类,这个分类法一直沿用至今。

现代色谱技术在鞣质化学中的应用,使鞣质化学的研究中长期存在的重大困难——鞣质的分离纯化得到了解决。

进入50-60年代,Schmidt提出鞣花鞣质是棓酰基的脱氢偶合的产物。

1975年以后,日本奥田拓南等先后开始研究中草药植物及许多植物中的鞣质,至今发现了数百个新的鞣质及相关化合物

中国对鞣质成分的研究起步于70年代末。研究内容有鞣质的化学结构,分子量,分离与鉴定等。2001年首个鞣质类抗癌药物上市——威麦宁(北京华颐中药制药厂)。  

分类[编辑 | 编辑源代码]

根据鞣质的化学结构可分为两大类:  

可水解鞣质[编辑 | 编辑源代码]

可水解鞣质

没食子鞣质

hydrolysable tannins)这是一类由酚酸及其衍生物葡萄糖或多元醇通过甙键或酯键而形成的化合物。因此,可被酸、碱、酶(如鞣酶tannase、苦杏仁酶emulsin等)催化水解,依水解后所得酚酸类的不同,又可分为没食子酸鞣质(gallotannin)和逆没食子酸鞣质(ellagotannin)两类。含这类鞣质的生药有五味子、没食子、柯子、石榴皮、大黄、桉叶丁香等。  

缩合鞣质[编辑 | 编辑源代码]

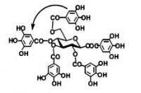
缩合鞣质(condensed tannins)这是一类由儿茶素(catechin)或其衍生物棓儿茶素(gallocatechin)等黄烷-3-醇(flavan-3-ol)化合物以碳-碳键聚合而形成的化合物。通常三聚体以上才具有鞣质的性质。由于结构中无甙键与酯键,故不能被酸、碱水解。缩合鞣质的水溶液在空气中久置能进一步缩合,形成不溶于水的红棕色沉淀,称为鞣红(phlobaphene)。当与酸、碱共热时,鞣红的形成更为迅速。如切开的生梨、苹果等久置会变红棕色,茶水久置形成红棕色沉淀等。含缩合鞣质的生药更广泛,如儿茶、茶叶虎杖桂皮四季青、桉叶、钩藤、金鸡纳皮、绵马、槟榔等。  

通性[编辑 | 编辑源代码]

质的通性有一下几点:

(1) 鞣质大多为无定形粉末,仅少数为晶体。味涩,具收敛性,易潮解,较难提纯。鞣质的分子量通常为 500 至 3000,具较多的酚羟基,特别有邻位酚羟基易被氧化,难以得到无色单体,多为杏黄色、棕色或褐色。

(2) 鞣质可与蛋白质(如明胶溶液)结合生成沉淀,此性质在工业上用于鞣革。鞣质与蛋白质的沉淀反应在一定条件下是可逆的,当此沉淀与丙酮回流,鞣质可溶于丙酮而与蛋白质分离。

(3) 鞣质具较强的极性,可溶于水、乙醇和甲醇,形成胶体溶液,可溶于乙酸乙酯和丙酮,不溶于石油醚、乙醚、氯仿与苯。

(4) 鞣质分子中有邻位酚羟基,故可与多种金属离子络合。鞣质的水溶液遇Fe3+产生蓝(黑)色或绿(黑色)色或沉淀,故在煎煮和制备生药制剂时,应避免铁器接触。鞣质水溶液遇重金属盐(如醋酸铅醋酸铜、重铬酸钾等),生物碱或碱土金属氢氧化物(如氢氧化钙)都会产生沉淀,此性质可用于鞣质的提取、分离、定性、定量或除去鞣质。

(5) 鞣质为强还原剂,可使 KMmO4褪色,鞣质极易被氧化,特别在碱性条件下氧化更快。  

提取溶剂[编辑 | 编辑源代码]

用于提取鞣质的最好的原料是刚刚采摘的原料,未变质的气干原料也可应用。采摘的新鲜原料宜立即浸提,也可以用冷冻或浸泡在丙酮中的方法贮存。

浸提用溶剂应该是对鞣质优良好的溶解能力,不与鞣质发生化学反应,浸出杂质少,易于分离的。此外还要低毒、安全、经济、易得。水是鞣质的良好溶剂,有作者采用含亚硫酸钠亚硫酸氢钠的水溶液提取石榴皮中的鞣质。有机溶剂和水的复合体系(有机溶剂占50%-70%)使用更为普遍,可选的有机溶剂有乙醇、甲醇、丙醇、丙酮、乙酸乙酯、乙醚等。丙酮-水体系对鞣质溶解能力最强,能够打开鞣质-蛋白质的连接键,减压蒸发易除去丙酮是目前使用最普遍的溶剂体系。

鞣质粗提物中含有大量的糖、蛋白质、脂类等杂质,加上鞣质本身是许多结构和理化性质十分接近的混合物,需进一步分离纯化。通常采用有机溶剂分步萃取的方法进行初步纯化,甲醇能使水解鞣质中的缩酚酸键发生醇解,乙酸乙酯能够溶解多种水解鞣质及低聚的缩合鞣质,乙醚只溶解分子量小的多元酚。初步分离还可以采取皮粉法、醋酸铅沉淀法、氯化钠盐析法、渗析法、超滤法和结晶法等。柱色谱是目前制备纯鞣质及有关化合物的最主要方法,可选用的固定相有硅胶、纤维素、聚酰胺、聚苯乙烯凝胶聚乙烯凝胶、葡聚糖凝胶等,其中又以葡聚糖凝胶Sephadex LH-20最为常用。  

提取方法[编辑 | 编辑源代码]

浸渍[编辑 | 编辑源代码]

将植物粗粉装入有盖的容器中,加入合适的溶剂(一般为水或乙醇),在室温或加热情况下浸泡一定时间(一日至数日),使其中所含成分溶出,过滤,残渣再另加新溶剂,重复提取两次。合并提取液,浓缩后

渗漉罐

得提取物。此法简单易行,对含有多量淀粉、树胶、黏液质果胶等成分的植物材料很适宜。缺点是提取率不高,用水作溶剂时若浸溃时间长,物料易发霉变质,必须加入防腐剂。  

渗漉法[编辑 | 编辑源代码]

渗漉法是将植物粉末装在渗渡器中,自上添加新溶剂,自下收集提取液。植物材料粉碎要求适度,不宜太细或太粗。太粗会影响提取效率,太细则易结块而阻塞溶剂流通另外还要考虑植物粉末的润胀和填料压力等。与浸渍法相比,渗漉法可使植物材料与新溶剂或有效成分含量低的溶液接触,具有一定的浓度差,提高了提取率,提取效果优于浸溃法。该法的缺点是溶剂用量较大,操作过程较长。  

煎煮法[编辑 | 编辑源代码]

将植物材料放在砂罐或塘瓷器皿中,加入适量的水,加热煮沸,将有效成分提取出来。这是中国最早使用且现在仍在使用的传统浸出方法。此法既简便,又能溶出植物材料中的大部分成分。缺点是对含挥发性成分及有效成分遇热易破坏的植物材料不宜用此法。  

回流提取法[编辑 | 编辑源代码]

用有机溶剂进行加热提取时,需要采用回流加热装置,以免溶剂挥发损失。此法较冷浸法提取率高,但对受热易破坏的成分,不宜采用此法。  

连续回流法[编辑 | 编辑源代码]

为了弥补回流提取法中要进行反复过滤、需要溶剂量大的不足,可采用连续回流提取法。连续回流的装置,实验室常用索氏提取器。由于溶剂可反复被气化、冷凝,使被提取物与溶剂之间一直保持着相当大的浓度差,提取效率高,溶剂用量少。不足之处是提取液受热时间较长,对受热易分解的成分不宜采用此法。  

超声波提取法[编辑 | 编辑源代码]

超声波振荡是能的一种形式,它可以在气态、液态或固态介质中传播。将植物材料和提取溶剂放入超声波发生器中,在超声波的作用下,原料细胞部分被破坏,有效成分可很容易地扩散到提取液中,加之超声波振荡也可使原料颗粒不停运动,并使浸提温度升高,有利于扩散,提高浸提效率。

利用超声场强化浸取和萃取过程是超声化学领域中极具潜力的发展方向。传统的提取方法是针对某种目标成分选取正确的溶剂,同时采用加热或搅拌。较高的温度有利于目标成分的浸出,但温度过高又会使有效成分受热分解或改变结构和性质。如果在提取过程中引入超声波,就可以在较低的温度下大大促进溶剂提浸、萃取天然成分的过程。研究表明,超声波作用可以改变反应物的质量传输机制,破坏细胞的细胞壁,使细胞内含物更易释放。超声波形成的微流效应也是其提高提取过程效率的一个重要原因。  

组织破碎提取法[编辑 | 编辑源代码]

动物组织、植物肉质种子、柔嫩的叶芽等多采用组织破碎提取法。不同实验规模、不同实验材料和实验要求,使用的破碎方法和条件也不同。  

测定[编辑 | 编辑源代码]

检识反应[编辑 | 编辑源代码]

鞣质一般可用三氯化铁反应、溴水反应、乙酸铅反应、香草醛-浓硫酸反应、二甲氨基苯甲醛反应、甲醛盐酸-硫酸铁铵反应等反应检识。如果三氯化铁反应无色提示无鞣质或有单取代酚羟基的缩合鞣质;三氯化铁反应显蓝色一般为具邻三酚羟基化合物,可分为水解鞣质和没食子儿茶酸缩合鞣质;三氯化铁反应显深绿色,一般具邻二酚羟基化合物,可分为邻二酚羟基的黄酮和儿茶素类缩合鞣质。如果溴水反应有黄或橙红色沉淀为缩合鞣质。如果乙酸铅反应有沉淀且沉淀溶于乙酸的为缩合鞣质。如果香草醛浓硫酸反应与对二甲氨基苯甲醛反应呈红色,说明存在儿茶素类缩合鞣质。如果甲醛浓盐酸-硫酸铁铵反应有樱红色沉淀为缩合鞣质。  

物理方法[编辑 | 编辑源代码]

物理参数的测定熔点、比旋值。进一步的分析一般用薄层层析法、纸层析法等。薄层层析法应用较多,检测鞣质的分解产物没食子酸的重现性好,灵敏度高,斑点集中较清晰。纸层析法分离效果差,斑点重叠不集中,拖尾现象严重。近来也可用高效液相色谱区分各种鞣质类型,可识别植物提取物中的鞣质是普通的还是咖啡酰鞣质,类黄酮鞣质或其它物质。需用的样品量和紫外法差不多,在研究植物中鞣质和其有关的多酚化合物分布情况特别有效。在鞣质的结构测定中,1H-NMR、13C-NMR是两种重要的工具,相辅相成,提供有关分子中氢及碳原子的类型,数目,相互连接方式,周围化学环境等。在确定有机化合物分子的平面及立体结构中发挥着巨大的威力。  

生理活性[编辑 | 编辑源代码]

鞣质具有与蛋白质发生结合使之沉淀的性质,称之为收敛性。鞣质传统的药理活性大部分都可归因于收敛性,但目前的研究证明鞣质还具有更广泛的药理活性,这些活性还与鞣质的抗氧化性和与金属离子络合等其它性质相关,主要有:  

抑菌[编辑 | 编辑源代码]

含鞣质水果——柿子

药典中记载的富含鞣质的中草药有多种,传统中医常常认为这些草药具有“清热解毒、逐癖通经、收敛止血、利尿通淋”等功效。随着近年来植物化学和现代分析技术的迅速发展,使鞣质的生理活性和化学成分研究成为天然产物领域的热点之一。使得传统中药的功效从分子水平得到确认。如甜茶的抗过敏作用经分析与其特有成分鞣花鞣质聚合物有关,与聚合度成正比;长期饮用绿茶和食用果蔬可有效降低癌症肿瘤发病率亦与鞣质有关等。鞣质因其能凝固微生物体内的原生质,以及对多种酶的作用,对多种细菌真菌酵母茵都有明显的抑制能力,抑制机理针对种类不同的微生物有所不同,但不影响动物体细胞的生长,例如,对霍乱菌、金黄色葡萄球菌大肠杆菌等常见致病菌都有某些鞣质能起到很强的抑制作用。鞣质可作胃炎和溃疡药物成分,抑制幽门螺旋菌的生长。睡蓬松因其所含水解鞣质的杀菌能力,可治喉炎白带、眼部感染。熊果的乙醇提取物在pH高至5.2时仍保持抑菌能力,其中主要为缩合鞣质起作用。抑菌作用可能从一个角度说明了鞣质“清热解毒、利尿通淋”的原因。

鞣质,尤其是丹皮、熊果、老鹤草中的水解类鞣质,茶叶、槟榔中的缩合鞣质具有很强的抗功能,其作用主要通过抑制链球茵的生长及其在牙齿表面的吸附。从各种鞣质的结构和抗龋性分析可得出:鞣质与酶作用是选择性结合,并且在低浓度下促进酶活性而在高浓度下抑制。  

抗病毒[编辑 | 编辑源代码]

鞣质抗病毒的性质与其抑菌性有一定相似之处。病毒结构简单(蛋白质外壳内含核酸),对鞣质尤其敏感。贯众治疗感冒,中药石榴皮治疗生殖器疱疹都与其鞣质抗病毒有关。目前鞣质的抗艾滋病研究令人关注。低分子量

水解鞣质,尤其二聚鞣花鞣质(如马桑因,仙鹤草素)可作口服剂用来抑制AIDS。继花叶鞣质具有较好的抗炎镇痛作用,能显著抑制二甲苯所致的小鼠耳壳肿胀和蛋清所致大鼠足趾肿胀,能显著延长酒石酸锑钾所至小鼠扭体发生潜伏期。作用众多的试验结果表明鞣花鞣质抗病毒活性最显著,而且二聚体比单体强很

多,这说明鞣质的抗病毒活性与收敛性相关。  

抗脂质过氧化[编辑 | 编辑源代码]

虎杖、肉桂、杜仲等所含鞣质可抑制脂质过氧化而保护肝肾葡萄籽可显著降低高胆固醇饮食大鼠的血清。主要成分为葡萄籽提取物中的原花色素的一个制品经动物实验确认具有减轻氧化性应激、抑制动脉硬化胃溃疡白内障等效果,最近的临床实验又确认其有抑制运动氧化应激产生的活性氧效果。槟榔鞣质对高血压大鼠口服静注均可降低血压,但并不影响正常大鼠血压。柿子鞣质、大黄鞣质无降压功效,但可减少导致脑出血脑梗死的可能性。  

抗肿瘤癌变[编辑 | 编辑源代码]

鞣质作为多元酚类化合物,具有很强的抗氧化作用其抗癌机理有些就是与其抗氧化作用相关。病毒也是导致肿瘤的原因之一,Kakiuchi等研究了种鞣质成分对鸟成髓细胞白血病病毒逆转录酶的抑制活性,结果表明逆没食子鞣质和没食子鞣质单元体抑制活性较差,而二聚逆没食子鞣质的抑制性较强。这种抑制可因模板引物(聚腺苷酸-寡胸腺嘧啶核酸)或酶的加入而发生逆转,从而提示这种抑制是由鞣质与它们二者的相互作用所致。越来越多的研究也表明大环二聚体鞣质的抗肿瘤活性较强,并且大部分不是单纯的细胞毒作用,而是具有选择性,对正常细胞影响较小。对DNA拓扑异构酶-II的抑制作用也是鞣质类化合物的抗肿瘤机制之一。  

研究进展[编辑 | 编辑源代码]

临床用于抗癌药物中有许多来源于植物的有效成分,如紫杉醇喜树碱长春新碱秋水仙碱等就是成功的范例。因此,从天然植物中筛选分离有效的抗癌活性成分是一个非常有意义的研究方向,也是抗癌药物开发的一个有效途径。

药用植物中鞣质的研究在天然药物化学中已成为一个非常活跃的领域,其在医药行业的抗肿瘤治疗中也显示出相当诱人的前景。在可水解鞣质的研究方面取得了引入注目的成就,确定了许多可水解鞣质的结构,并发现了不少新的生物活性。这些成就的取得为进一步深入广泛开展鞣质类的研究工作展示了光明的前景,利用得天独厚的几千年的临床应用经验,充分运用现代科学技术,结合传统的医疗实践经验,开辟这一古老而年青的领域的研究工作,就一定能使药用鞣质的研究工作重放异彩,使鞣质类化台物在医药方面发挥更大的作用。